跳转至内容
Merck
CN

C0884

辅酶 B12

≥97.0%

别名:

5′-脱氧腺苷, DMBC辅酶, 腺苷钴胺, 腺苷钴胺素

登录 查看组织和合同定价。

选择尺寸

变更视图

关于此项目

经验公式(希尔记法):
C72H100CoN18O17P
化学文摘社编号:
分子量:
1579.58
UNSPSC Code:
12352205
NACRES:
NA.79
PubChem Substance ID:
EC Number:
237-627-6
Beilstein/REAXYS Number:
4122932
MDL number:
技术服务
需要帮助?我们经验丰富的科学家团队随时乐意为您服务。
让我们为您提供帮助


Quality Level

assay

≥97.0%

form

powder and chunks

technique(s)

HPLC: suitable

color

red to very dark red, very dark red-brown

storage temp.

−20°C

SMILES string

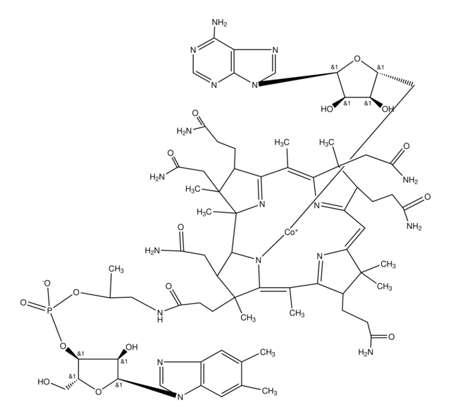
CC(CNC(=O)CCC1(C)C(CC(N)=O)C2N([Co+]C[C@H]3O[C@@H]([C@H](O)[C@@H]3O)n4cnc5c(N)ncnc45)C1=C(C)C6=NC(=CC7=NC(=C(C)C8=NC2(C)C(C)(CC(N)=O)C8CCC(N)=O)C(C)(CC(N)=O)C7CCC(N)=O)C(C)(C)C6CCC(N)=O)OP([O-])(=O)O[C@H]9[C@@H](O)[C@H](O[C@@H]9CO)n%10cnc%11cc(C)c(C)cc%10%11

InChI

1S/C62H90N13O14P.C10H12N5O3.Co/c1-29-20-39-40(21-30(29)2)75(28-70-39)57-52(84)53(41(27-76)87-57)89-90(85,86)88-31(3)26-69-49(83)18-19-59(8)37(22-46(66)80)56-62(11)61(10,25-48(68)82)36(14-17-45(65)79)51(74-62)33(5)55-60(9,24-47(67)81)34(12-15-43(63)77)38(71-55)23-42-58(6,7)35(13-16-44(64)78)50(72-42)32(4)54(59)73-56;1-4-6(16)7(17)10(18-4)15-3-14-5-8(11)12-2-13-9(5)15;/h20-21,23,28,31,34-37,41,52-53,56-57,76,84H,12-19,22,24-27H2,1-11H3,(H15,63,64,65,66,67,68,69,71,72,73,74,77,78,79,80,81,82,83,85,86);2-4,6-7,10,16-17H,1H2,(H2,11,12,13);/q;;+2/p-2/t31?,34?,35?,36?,37?,41-,52-,53-,56?,57+,59?,60?,61?,62?;4-,6-,7-,10+;/m11./s1

InChI key

ZIHHMGTYZOSFRC-PMDPKNCCSA-L

General description

维生素B12 (钴胺素)是指一组化学上相关的含钴分子。维生素B12的生理活性形式包括甲钴胺和腺苷钴胺素,而羟钴胺素(维生素12a,OHCb1)和氰钴胺素(CNCb1)是其储存和递送的形式。

Application

在yvrC-lacZ 融合的体内检测中,辅酶 B12可用作质粒变种培养的增补剂。

Biochem/physiol Actions

维生素B12(钴胺素)参与DNA合成和脂肪酸合成。 作为一种辅酶,它也在线粒体甲基丙二酰基辅酶A转化为琥珀酰辅酶A的过程中起关键作用。


存储类别

11 - Combustible Solids

wgk

WGK 3

flash_point_f

Not applicable

flash_point_c

Not applicable

ppe

Eyeshields, Gloves, type N95 (US)



历史批次信息供参考:

分析证书(COA)

Lot/Batch Number

没有发现合适的版本?

如果您需要特殊版本,可通过批号或批次号查找具体证书。

已有该产品?

在文件库中查找您最近购买产品的文档。

访问文档库



J R Roth et al.
Annual review of microbiology, 50, 137-181 (1996-01-01)
This review examines deoxyadenosylcobalamin (Ado-B12) biosynthesis, transport, use, and uneven distribution among living forms. We describe how genetic analysis of enteric bacteria has contributed to these issues. Two pathways for corrin ring formation have been found-an aerobic pathway (in P.
Jiayun Pang et al.
Journal of the American Chemical Society, 134(4), 2367-2377 (2012-01-14)
We present here an energetic and atomistic description of how D-ornithine 4,5-aminomutase (OAM), an adenosylcobalamin (AdoCbl; coenzyme B(12))-dependent isomerase, employs a large-scale protein domain conformational change to orchestrate the homolytic rupture of the Co-C bond. Our results suggest that in
Radical catalysis in coenzyme B12-dependent isomerization (eliminating) reactions.
Tetsuo Toraya
Chemical reviews, 103(6), 2095-2127 (2003-06-12)



全球贸易项目编号

货号GTIN
C0884-100MG04061833269428
C0884-1G04061833452394
C0884-250MG04061833452400
C0884-25MG04061833452424