选择尺寸
关于此项目
产品名称
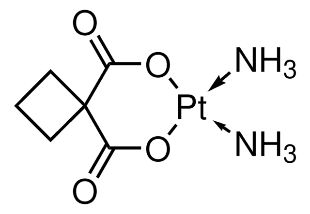
卡铂,
form
powder
Quality Level
antibiotic activity spectrum
neoplastics
originator
Bristol-Myers Squibb
SMILES string
N.N.O=C1O[Pt]OC(=O)C12CCC2
InChI
1S/C6H8O4.2H3N.Pt/c7-4(8)6(5(9)10)2-1-3-6;;;/h1-3H2,(H,7,8)(H,9,10);2*1H3;/q;;;+2/p-2
InChI key
OLESAACUTLOWQZ-UHFFFAOYSA-L
General description
Application
- 用于化疗性血小板减少小鼠模型及治疗
- 诱导大量结直肠癌细胞死亡
- 评估细胞增殖和化疗敏感性
- 作为抑制细胞生长的阳性对照
Biochem/physiol Actions
Features and Benefits
Still not finding the right product?
Explore all of our products under 卡铂
signalword
Danger
Hazard Classifications
Acute Tox. 4 Dermal - Acute Tox. 4 Inhalation - Acute Tox. 4 Oral - Muta. 1B - Repr. 1B - Resp. Sens. 1 - Skin Sens. 1
存储类别
6.1C - Combustible acute toxic Cat.3 / toxic compounds or compounds which causing chronic effects
wgk
WGK 3
flash_point_f
Not applicable
flash_point_c
Not applicable
ppe
Eyeshields, Faceshields, Gloves, type P3 (EN 143) respirator cartridges
商品
DNA损伤和修复机制对于维持DNA完整性至关重要。细胞DNA的损伤与突变、癌症发展等有关。
DNA damage and repair mechanism is vital for maintaining DNA integrity. Damage to cellular DNA is involved in mutagenesis, the development of cancer among others.
Cell cycle phases (G1, S, G2, M) regulate cell growth, DNA replication, and division in proliferating cells.
全球贸易项目编号
| 货号 | GTIN |
|---|---|
| C2538-100MG | 04061833484180 |
| C2538-250MG | 04061833484197 |

