跳转至内容
Merck
CN

D8147

Dynorphin A porcine

≥95% (HPLC)

别名:

Dynorphin-(1-17)

登录 查看组织和合同定价。

选择尺寸

变更视图

关于此项目

经验公式(希尔记法):
C99H155N31O23
化学文摘社编号:
分子量:
2147.48
NACRES:
NA.32
PubChem Substance ID:
UNSPSC Code:
51111800
MDL number:
技术服务
需要帮助?我们经验丰富的科学家团队随时乐意为您服务。
让我们为您提供帮助


Quality Level

assay

≥95% (HPLC)

form

powder

UniProt accession no.

storage temp.

−20°C

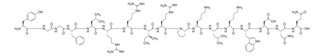
SMILES string

[H]N[C@@H](Cc1ccc(O)cc1)C(=O)NCC(=O)NCC(=O)N[C@@H](Cc2ccccc2)C(=O)N[C@@H](CC(C)C)C(=O)N[C@@H](CCCNC(N)=N)C(=O)N[C@@H](CCCNC(N)=N)C(=O)N[C@@H]([C@@H](C)CC)C(=O)N[C@@H](CCCNC(N)=N)C(=O)N3CCC[C@H]3C(=O)N[C@@H](CCCCN)C(=O)N[C@@H](CC(C)C)C(=O)N[C@@H](CCCCN)C(=O)N[C@@H](Cc4c[nH]c5ccccc45)C(=O)N[C@@H](CC(O)=O)C(=O)N[C@@H](CC(N)=O)C(=O)N[C@@H](CCC(N)=O)C(O)=O

InChI

1S/C99H155N31O23/c1-7-55(6)81(129-86(142)66(28-18-40-112-98(107)108)118-83(139)65(27-17-39-111-97(105)106)120-88(144)70(44-54(4)5)125-89(145)71(46-56-21-9-8-10-22-56)117-79(135)52-115-78(134)51-116-82(138)61(102)45-57-31-33-59(131)34-32-57)94(150)122-67(29-19-41-113-99(109)110)95(151)130-42-20-30-75(130)93(149)121-64(26-14-16-38-101)85(141)124-69(43-53(2)3)87(143)119-63(25-13-15-37-100)84(140)126-72(47-58-50-114-62-24-12-11-23-60(58)62)90(146)128-74(49-80(136)137)92(148)127-73(48-77(104)133)91(147)123-68(96(152)153)35-36-76(103)132/h8-12,21-24,31-34,50,53-55,61,63-75,81,114,131H,7,13-20,25-30,35-49,51-52,100-102H2,1-6H3,(H2,103,132)(H2,104,133)(H,115,134)(H,116,138)(H,117,135)(H,118,139)(H,119,143)(H,120,144)(H,121,149)(H,122,150)(H,123,147)(H,124,141)(H,125,145)(H,126,140)(H,127,148)(H,128,146)(H,129,142)(H,136,137)(H,152,153)(H4,105,106,111)(H4,107,108,112)(H4,109,110,113)/t55-,61-,63-,64-,65-,66-,67-,68-,69-,70-,71-,72-,73-,74-,75-,81-/m0/s1

InChI key

JMNJYGMAUMANNW-FIXZTSJVSA-N

Gene Information

human ... OPRK1(4986)
mouse ... Oprd1(18386)
pig ... PDYN(445529)
rat ... Oprd1(24613)

Application

Dynorphin A has been used in immunohistochemistry.

Biochem/physiol Actions

Dynorphin A porcine is an opioid peptide. It is an endogenous κ-agonist that is resistant to enzymatic degradation. Dynorphin A has the ability to decrease calcium current by selectively decreasing the large inactivating (N) calcium current. It can decrease the calcium-dependent action potential duration of DRG (dorsal root ganglion) and myenteric neurons.


存储类别

11 - Combustible Solids

wgk

WGK 3

flash_point_f

Not applicable

flash_point_c

Not applicable

ppe

Eyeshields, Gloves, type N95 (US)

法规信息

常规特殊物品

此项目有



历史批次信息供参考:

分析证书(COA)

Lot/Batch Number

没有发现合适的版本?

如果您需要特殊版本,可通过批号或批次号查找具体证书。

已有该产品?

在文件库中查找您最近购买产品的文档。

访问文档库



Dynorphin A selectively reduces a large transient (N-type) calcium current of mouse dorsal root ganglion neurons in cell culture
Gross R A and Macdonald R L
Proceedings of the National Academy of Sciences of the USA, 84(15), 5469-5473 (1987)
S Zhang et al.
The Journal of pharmacology and experimental therapeutics, 286(1), 136-141 (1998-07-10)
Dynorphin A is an endogenous opioid peptide that activates the kappa opioid receptor (KOR) with high potency. Some studies also showed that the distribution and functional activity of dynorphin A are not completely correlated with those of KOR, suggesting that
S J Shuster et al.
Neuroscience, 96(2), 373-383 (2000-02-23)
The relationship between the cloned kappa opioid receptor, dynorphin, and the neurohypophysial hormones vasopressin and oxytocin was analysed in the guinea-pig hypothalamic magnocellular neurosecretory neurons. This analysis was performed in order to understand better which population of neuroendocrine neurons in



全球贸易项目编号

货号GTIN
D8147-.5MG04061832676623
D8147-1MG04061826152638
D8147-.1MG04061832676616