跳转至内容
Merck
CN

E1014

Benzonase®核酸酶

≥250 units/μL, ≥90% (SDS-PAGE), recombinant, expressed in E. coli, buffered aqueous glycerol solution

别名:

内切核酸酶 来源于粘质沙雷氏菌

登录 查看组织和合同定价。

选择尺寸

变更视图

关于此项目

化学文摘社编号:
UNSPSC Code:
12352204
NACRES:
NA.54
MDL number:
Assay:
≥90% (SDS-PAGE)
Biological source:
Serratia marcescens
Recombinant:
expressed in E. coli
Concentration:
≥250 units/μL
技术服务
需要帮助?我们经验丰富的科学家团队随时乐意为您服务。
让我们为您提供帮助


biological source

Serratia marcescens

Quality Level

recombinant

expressed in E. coli

assay

≥90% (SDS-PAGE)

form

buffered aqueous glycerol solution

mol wt

30 kDa

concentration

≥250 units/μL

application(s)

research use

foreign activity

protease, essentially free

shipped in

wet ice

storage temp.

−20°C

General description

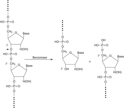
Benzonase®全能核酸酶是一种通过高效基因工程法从粘质沙雷氏菌(Serratia marcescens)中获得的核酸内切酶。这种由两个必需二硫键连接的二聚体蛋白可在宽泛的操作条件下攻击并降解所有形式的DNA和RNA(单链、双链、线性和环化)。Benzonase®全能核酸酶能够去除核酸并提高蛋白质样本的纯度和质量。

Application

Benzonase®全能核酸酶用于:作为冰冷裂解缓冲液C的组分以消化DNA 和  RNA,便于充分释放所有核蛋白在免疫沉淀中用于释放核质和染色质中的蛋白复合物作为RIPA添加剂,用于分离SHSY5Y细胞进行免疫沉淀在脱细胞方法中用于去除主动脉根部的残留核酸
用于去除蛋白样品中的核酸。

Biochem/physiol Actions

Benzonase®全能核酸酶能将核酸完全消化成长度为3到5个碱基的5′-单磷酸末端寡核苷酸,使其成为从重组蛋白中去除核酸的理想工具,并适于需要完全消化核酸的应用。除了降低蛋白质提取物的粘度并防止细胞结团之外,使用Benzonase®全能核酸酶预处理蛋白质样本可以消除任何结合的核酸,进而显著提高2D凝胶电泳的分辨率。这种多功能酶可消化天然或热变性的DNA和RNA,其酶活性的最佳pH值为8.0-9.2。Benzonase®全能核酸酶可有效去除微生物组样本中的宿主DNA。在许多情况下,微生物组样本(如唾液或皮肤等)中含有较高比例的能够干扰下游结果的宿主DNA。我们的专家表示,减少宿主DNA可以降低测序成本,同时增加并改进数据。实验数据显示于以下技术文章中-用于微生物组工作流程的Benzonase®全能核酸酶物
消化天然或热变性的DNA和RNA。

Features and Benefits

  • 去除微生物组样本的宿主DNA。


  • 在各种工作流程中高效去除核酸。


  • 在蛋白提取过程中降低粘度。

Physical form

在含有20 mM Tris HCl, pH 8.0, 2 mM MgCl2及20 mM NaCl的50%甘油中的溶液。

Other Notes

在pH 8.0,37 °C条件下,一个单位的酶在30分钟内可将超声的鲑鱼精子DNA消化成等同于1.0 ΔA260的酸可溶寡核苷酸(2.625 ml反应体积)。

Legal Information

Benzonase®核酸酶由德国达姆施塔特默克公司和/或其附属公司提供。
Benzonase is a registered trademark of Merck KGaA, Darmstadt, Germany


Still not finding the right product?

Explore all of our products under Benzonase®核酸酶


存储类别

10 - Combustible liquids

flash_point_f

Not applicable

flash_point_c

Not applicable

ppe

Eyeshields, Gloves

法规信息

常规特殊物品

此项目有



历史批次信息供参考:

分析证书(COA)

Lot/Batch Number

没有发现合适的版本?

如果您需要特殊版本,可通过批号或批次号查找具体证书。

已有该产品?

在文件库中查找您最近购买产品的文档。

访问文档库


商品

本页列出了有关 Benzonase® 核酸酶的九个常见问题及其解答。

This page lists nine frequently asked questions and answers about Benzonase® Nuclease.

This page lists nine frequently asked questions and answers about Benzonase® Nuclease.

查看所有文章

相关内容

Read an automated protocol for protein purification using PureProteome™ nickel magnetic beads on the AAW™ automated assay workstation and see results comparing manual vs automated runs.

The use of Benzonase® endonuclease can significantly reduce the levels of DNA by more than 100,000-fold while also reducing viscosity and protecting downstream equipment from DNA fouling. However, optimization strategies and DoE are critical when it comes to reducing DNA in your process. Setting up a DoE for your Benzonase® endonuclease application can help you find the optimal operation conditions that deliver the required DNA clearance from your process.

Find protein research tools to prepare, isolate, and analyze proteins. Organized by how to extract, protect, purify, enrich, modify, and quantify proteins.


Jos J M Drabbels et al.
Blood, 118(19), e149-e155 (2011-09-21)
Microchimerism is defined by the presence of low levels of nonhost cells in a person. We developed a reliable method for separating viable microchimeric cells from the host environment. For flow cytometric cell sorting, HLA antigens were targeted with human
Janus S Jakobsen et al.
Science advances, 5(7), eaaw4304-eaaw4304 (2019-07-17)
The key myeloid transcription factor (TF), CEBPA, is frequently mutated in acute myeloid leukemia (AML), but the direct molecular effects of this leukemic driver mutation remain elusive. To investigate CEBPA mutant AML, we performed microscale, in vivo chromatin immunoprecipitation sequencing
T K Ball et al.
Gene, 57(2-3), 183-192 (1987-01-01)
We are studying exoproteins of the enteric bacterium Serratia marcescens as a model system for the release of extracellular proteins from the cell. In this work we report the cloning of the gene for a secreted nuclease from S. marcescens



全球贸易项目编号

货号GTIN
E1014-25KU04061835572915
E1014-5KU04061835572922