选择尺寸
关于此项目
产品名称
Fumonisin B1 来源于串珠镰刀菌, ≥98% (HPLC)
biological source
Fusarium sp. (Fusarium moniliforme)
Quality Level
assay
≥98% (HPLC)
form
powder
solubility
methanol: 9.80-10.20 mg/mL, clear, colorless to light yellow
storage temp.
2-8°C
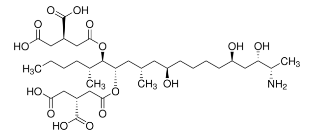
SMILES string
CCCC[C@@H](C)[C@@H](OC(=O)C[C@@H](CC(O)=O)C(O)=O)[C@H](C[C@@H](C)C[C@H](O)CCCC[C@@H](O)C[C@H](O)[C@H](C)N)OC(=O)C[C@@H](CC(O)=O)C(O)=O
InChI
1S/C34H59NO15/c1-5-6-9-20(3)32(50-31(44)17-23(34(47)48)15-29(41)42)27(49-30(43)16-22(33(45)46)14-28(39)40)13-19(2)12-24(36)10-7-8-11-25(37)18-26(38)21(4)35/h19-27,32,36-38H,5-18,35H2,1-4H3,(H,39,40)(H,41,42)(H,45,46)(H,47,48)/t19-,20+,21-,22+,23+,24+,25+,26-,27-,32+/m0/s1
InChI key
UVBUBMSSQKOIBE-DSLOAKGESA-N
General description
伏马菌素B1(FB1)与鞘氨醇结构相似。 因此,伏马菌素B1可以抑制神经酰胺合成酶(鞘氨醇N-乙酰基转移酶),其可导致神经酰胺生物合成和复杂鞘脂生物合成的中断。
Application
- 对从成年猪盲肠内容物中的真菌毒素进行分析的标准品
- 研究伏马菌素B1对朊病毒蛋白(PrP)异构体的代谢和羊瘙痒病朊病毒蛋白PrPSc合成的影响,以及
- 研究伏马毒素B1对猪空肠外植体的毒性作用。
Biochem/physiol Actions
signalword
Danger
hcodes
Hazard Classifications
Acute Tox. 3 Oral - Carc. 2 - Repr. 2 - STOT RE 2
target_organs
Kidney,Liver
存储类别
6.1C - Combustible acute toxic Cat.3 / toxic compounds or compounds which causing chronic effects
wgk
WGK 3
flash_point_f
Not applicable
flash_point_c
Not applicable
ppe
Eyeshields, Gloves, type P3 (EN 143) respirator cartridges
法规信息
此项目有
全球贸易项目编号
| 货号 | GTIN |
|---|---|
| F1147-10MG | 04061833611708 |
| F1147-1MG | 04061833611715 |
| F1147-5MG | 04061833611722 |

