form
lyophilized powder
Quality Level
specific activity
400-2,000 units/mg protein
purified by
affinity chromatography
contains
dithioerythritol as preservative
composition
Protein, ~5% Lowry
solubility
H2O: soluble 0.95-1.05 mg/mL, clear to hazy
UniProt accession no.
foreign activity
ATPase <0.2%
storage temp.
−20°C
Gene Information
Escherichia coli K12 ... glnA(948370)
General description
L-Glutamine Synthetase from bacteria shows dodecameric structure comprising of 12 active sites. Each active site termed bifunnel, has an ATP and glutamate binding sites. The dodecamer is stabilized by two hexameric rings.
Application
L-Glutamine Synthetase from Escherichia coli has been used in the synthesis of methylglutamine from methylammonium in E coli and in the glutamine synthetase protection activity of human thioredoxin peroxidase enzyme, AOE372.
L-Glutamine synthetase may be used for the purification of proteases from Escherichia coli.
Biochem/physiol Actions
Nitrogen starvation dictates the expression of the glutamine synthetase (GS) gene in E. coli. GS plays a key role in ammonia assimilation in bacteria. Adenylylation of GS is catalyzed by adenylyltransferase. Adenylylation of GS modulates its catalytic functionality resulting in glutamine limitation in E coli.
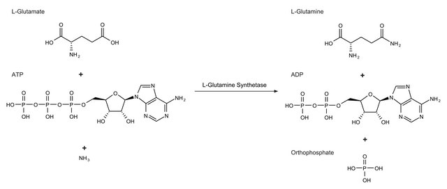
L-glutamine synthetase catalyzes the condensation of L-glutamate and ammonia to L-glutamine. It is a degradative enzyme for glutamic acid.
谷氨酸降解酶
Physical form
Contains potassium phosphate, sodium citrate and magnesium acetate buffer salts
Other Notes
One unit will convert 1.0 μmole of L-glutamate to L-glutamine in 15 min at pH 7.1 at 37 °C.
signalword
Danger
hcodes
pcodes
Hazard Classifications
Resp. Sens. 1
存储类别
11 - Combustible Solids
wgk
WGK 1
flash_point_f
Not applicable
flash_point_c
Not applicable
ppe
Eyeshields, Gloves, type N95 (US)
法规信息
常规特殊物品
此项目有
Structure-function relationships of glutamine synthetases
Eisenberg D, et al.
Biochimica et Biophysica Acta, Protein Structure and Molecular Enzymology, 1477(1-2), 122-145 (2000)
Reversible Adenylylation of Glutamine Synthetase Is Dynamically Counterbalanced during Steady-State
Okano H, et al.
Journal of molecular biology, 404(1), 522-536 (2010)
Ammonia acquisition in enteric bacteria: physiological role of the ammonium/methylammonium transport B (AmtB) protein
Soupene E, et al.
Proceedings of the National Academy of Sciences of the USA, 95(12), 7030-7034 (1998)
全球贸易项目编号
| 货号 | GTIN |
|---|---|
| G1270-100UN | 04061833630013 |
