产品名称
加拉碘铵, ≥98% (TLC), powder, muscarinic receptor antagonist
Quality Level
assay
≥98% (TLC)
form
powder
mp
235 °C (dec.) (lit.)
solubility
H2O: 100 mg/mL, ethanol: soluble
storage temp.
2-8°C
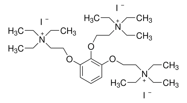
SMILES string
[I-].[I-].[I-].CC[N+](CC)(CC)CCOc1cccc(OCC[N+](CC)(CC)CC)c1OCC[N+](CC)(CC)CC
InChI
1S/C30H60N3O3.3HI/c1-10-31(11-2,12-3)22-25-34-28-20-19-21-29(35-26-23-32(13-4,14-5)15-6)30(28)36-27-24-33(16-7,17-8)18-9;;;/h19-21H,10-18,22-27H2,1-9H3;3*1H/q+3;;;/p-3
InChI key
REEUVFCVXKWOFE-UHFFFAOYSA-K
Gene Information
human ... CHRM1(1128), CHRM2(1129), CHRM3(1131), CHRM4(1132), CHRM5(1133), CHRNA1(1134), CHRNB1(1140), CHRND(1144), CHRNE(1145), CHRNG(1146)
Application
Gallamine triethiodide has been used:
- as a relaxant for measuring spinal trigeminal nucleus recordings from single neurons.
- as an antagonist in neuroblastoma cells as M2 receptor
- to reduce eye movement during retinal surgery in rat
Biochem/physiol Actions
Gallamine triethiodide has anti-muscarinic effect. It is a competitive antagonist for the muscarinic receptor. Gallamine is regarded as neuromuscular blocking agent.
Muscle relaxant; allosteric muscarinic receptor antagonist with an order of potency of M2 > M1 = M4 > M3 = M5. Ligand for the peripheral anionic binding site of acetylcholinesterase.
Features and Benefits
This compound is a featured product for Neuroscience research. Click here to discover more featured Neuroscience products. Learn more about bioactive small molecules for other areas of research at sigma.com/discover-bsm.
This compound is featured on the Acetylcholine Receptors (Muscarinic) page of the Handbook of Receptor Classification and Signal Transduction. To browse other handbook pages, click here.
Disclaimer
吸湿
signalword
Warning
hcodes
Hazard Classifications
Acute Tox. 4 Oral
存储类别
11 - Combustible Solids
wgk
WGK 3
ppe
dust mask type N95 (US), Eyeshields, Gloves
商品
DISCOVER Bioactive Small Molecules for Neuroscience
Transcriptional response to muscarinic acetylcholine receptor stimulation: regulation of Egr-1 biosynthesis by ERK, Elk-1, MKP-1, and calcineurin in carbachol-stimulated human neuroblastoma cells
Rossler O, et al.
Archives of Biochemistry and Biophysics, 470(1), 93-102 (2008)
Sandrine B Daval et al.
Molecular pharmacology, 84(1), 71-85 (2013-04-23)
Bitopic binding properties apply to a variety of muscarinic compounds that span and simultaneously bind to both the orthosteric and allosteric receptor sites. We provide evidence that fluorescent pirenzepine derivatives, with the M1 antagonist fused to the boron-dipyrromethene [Bodipy (558/568)]
The inhibitory effect of gallamine on muscarinic receptors
Clark AL and Mitchelson F
British Journal of Pharmacology, 58(3), 323-331 (1976)
全球贸易项目编号
| 货号 | GTIN |
|---|---|
| G8134-25G | 04061833643709 |
| G8134-5G | 04061833643716 |
