跳转至内容
Merck
CN

H6891

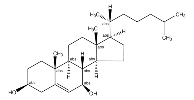
7β-羟基胆固醇

≥95%

别名:

5--胆甾烯-3β,7β-二醇

登录 查看组织和合同定价。

选择尺寸

变更视图

关于此项目

经验公式(希尔记法):
C27H46O2
化学文摘社编号:
分子量:
402.65
NACRES:
NA.77
PubChem Substance ID:
UNSPSC Code:
12352211
MDL number:
技术服务
需要帮助?我们经验丰富的科学家团队随时乐意为您服务。
让我们为您提供帮助


Quality Level

assay

≥95%

form

powder

functional group

hydroxyl

shipped in

ambient

storage temp.

room temp

SMILES string

[H][C@@]12[C@]([C@](CC[C@H](O)C3)(C)C3=C[C@@H]2O)([H])CC[C@@]4(C)[C@@]1([H])CC[C@]4([H])[C@]([H])(C)CCCC(C)C

InChI

1S/C27H46O2/c1-17(2)7-6-8-18(3)21-9-10-22-25-23(12-14-27(21,22)5)26(4)13-11-20(28)15-19(26)16-24(25)29/h16-18,20-25,28-29H,6-15H2,1-5H3

InChI key

OYXZMSRRJOYLLO-UHFFFAOYSA-N

Application

7β-羟胆固醇在人内皮细胞中可用于研究氧固醇诱导的凋亡。

Biochem/physiol Actions

7β-羟基胆固醇是一种氧固醇,即胆固醇氧化的酶促或非酶促产物。氧固醇具有细胞毒性,在单核细胞、平滑肌细胞和内皮细胞中可诱导死亡。 氧固醇诱导的细胞凋亡机制可能涉及胱氨酸蛋白酶或DNA片段化。7β-羟基胆固醇的水平升高与包括动脉粥样硬化在内的心血管疾病风险提高相关。

Preparation Note

无论是否加热,β-羟基胆固醇在乙醇中都会生成澄清、无色至淡黄色的溶液。


Still not finding the right product?

Explore all of our products under 7β-羟基胆固醇


存储类别

11 - Combustible Solids

wgk

WGK 3

flash_point_f

Not applicable

flash_point_c

Not applicable



历史批次信息供参考:

分析证书(COA)

Lot/Batch Number

没有发现合适的版本?

如果您需要特殊版本,可通过批号或批次号查找具体证书。

已有该产品?

在文件库中查找您最近购买产品的文档。

访问文档库



Ludovic Clarion et al.
Biochemical pharmacology, 83(1), 37-46 (2011-10-11)
7β-Hydroxycholesterol cytotoxicity has been shown in vivo and in vitro to be dependent on the accumulation of its esters. We show in our study, using a detergent-free raft preparation and LC/MS lipid content analysis, that membrane microdomains isolated from 7β-hydroxycholesterol-treated
Raymond C S Seet et al.
Free radical research, 47(4), 283-290 (2013-01-25)
The purpose of this study was to evaluate the use of Framingham risk scores (FRRs) to identify high-risk individuals with biochemical evidence of increased oxidative damage, who may benefit from antioxidant therapies. A bimodal change in plasma F2-isoprostane levels was
G Lizard et al.
FEBS letters, 419(2-3), 276-280 (1998-01-15)
The oxysterols, 7beta-hydroxycholesterol and 7-ketocholesterol, are involved in the cytotoxicity of oxidized LDL. To elucidate their molecular mechanisms, the human promonocytic leukemia cells U937 and U4 were used. U4 cells overexpressing Bcl-2 were obtained by transfection of U937 cells. 7Beta-hydroxycholesterol



全球贸易项目编号

货号GTIN
H6891-1MG04061833802427
H6891-10MG04061833076538
H6891-5MG04061833802533