登录 查看组织和合同定价。
选择尺寸
变更视图
关于此项目
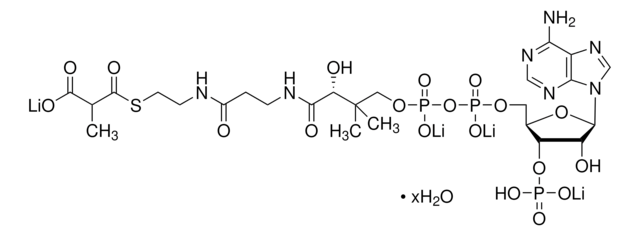
经验公式(希尔记法):
C25H36Li4N7O19P3S · xH2O
化学文摘社编号:
分子量:
891.34 (anhydrous basis)
NACRES:
NA.51
PubChem Substance ID:
UNSPSC Code:
41106305
MDL number:
Form:
powder
Assay:
≥90% (HPLC)
Solubility:
H2O: soluble-50 mg/mL, clear, colorless
Quality Level
assay
≥90% (HPLC)
form
powder
solubility
H2O: soluble-50 mg/mL, clear, colorless
storage temp.
−20°C
SMILES string
[Li+].[Li+].[Li+].[Li+].O.CC(C([O-])=O)C(=O)SCCNC(=O)CCNC(=O)[C@H](O)C(C)(C)COP([O-])(=O)OP([O-])(=O)OC[C@H]1O[C@H]([C@H](O)[C@@H]1OP(O)([O-])=O)n2cnc3c(N)ncnc23
InChI
1S/C25H40N7O19P3S.4Li.H2O/c1-12(23(37)38)24(39)55-7-6-27-14(33)4-5-28-21(36)18(35)25(2,3)9-48-54(45,46)51-53(43,44)47-8-13-17(50-52(40,41)42)16(34)22(49-13)32-11-31-15-19(26)29-10-30-20(15)32;;;;;/h10-13,16-18,22,34-35H,4-9H2,1-3H3,(H,27,33)(H,28,36)(H,37,38)(H,43,44)(H,45,46)(H2,26,29,30)(H2,40,41,42);;;;;1H2/q;4*+1;/p-4/t12?,13-,16-,17-,18+,22-;;;;;/m1...../s1
InChI key
ANDKBBZIPFWODN-WLVKLPLXSA-J
Application
甲基丙二酰辅酶 A (CoA) 已用于超高效液相色谱-质谱法 (UPLC-MS/MS) 中校准曲线的制备。 也用于测定甲基丙二酰辅酶 a 变位酶和甲基丙二酰辅酶 a 差向异构酶活性。
辅酶 A 作为酰基载体,即乙酰辅酶 A 发挥作用。甲基丙二酰辅酶 A (MM-CoA) 是用于研究甲基丙二酰辅酶 A 变位酶(琥珀酰-Ca 形成)、甲基丙二酰辅酶 A 脱羧酶 (EC 4.1.1.41) 和甲基丙二酰辅酶 A 水解酶 (EC 3.1.2.17) 等酶的特异性和动力学的底物。
Biochem/physiol Actions
甲基丙二酰辅酶 A (CoA) 是单链脂肪酸、胆固醇和少量氨基酸(如缬氨酸、异亮氨酸、蛋氨酸、苏氨酸)的降解产物。 由丙酰辅酶 a 羧化酶 (PCC) 的活性产生。甲基丙二酰辅酶 A (CoA) 通过甲基丙二酰辅酶 A 变位酶 (MCM) 和维生素 B12 作为辅助因子转化为琥珀酰辅酶 A。低 MCM 活性或维生素 B12 代谢改变导致遗传代谢病甲基丙二酸血症 (MMA)。
signalword
Warning
hcodes
Hazard Classifications
Eye Irrit. 2 - Skin Irrit. 2 - STOT SE 3
target_organs
Respiratory system
存储类别
11 - Combustible Solids
wgk
WGK 3
ppe
dust mask type N95 (US), Eyeshields, Gloves
Valentin Cracan et al.
The Journal of biological chemistry, 285(1), 655-666 (2009-10-30)
Coenzyme B(12) is used by two highly similar radical enzymes, which catalyze carbon skeleton rearrangements, methylmalonyl-CoA mutase and isobutyryl-CoA mutase (ICM). ICM catalyzes the reversible interconversion of isobutyryl-CoA and n-butyryl-CoA and exists as a heterotetramer. In this study, we have
Determination of methylmalonyl coenzyme A by ultra high-performance liquid chromatography tandem mass spectrometry for measuring propionyl coenzyme A carboxylase activity in patients with propionic acidemia
Gotoh K, et al.
Journal of Chromatography. B, Biomedical Sciences and Applications, 1046, 195-199 (2017)
Filippo Carlucci et al.
Electrophoresis, 28(12), 1921-1925 (2007-05-23)
Methylmalonyl-coenzyme A mutase (MCM) is a 5'-deoxyadenosylcobalamin-linked mitochondrial enzyme that catalyzes the isomerization of L-methylmalonyl-coenzyme A to succinyl-coenzyme A. We described a method for methylmalonyl-CoA and succinyl-CoA separation by CE, suitable for the evaluation of MCM activity. The working conditions
全球贸易项目编号
| 货号 | GTIN |
|---|---|
| M1762-1MG | 04061826675953 |
| M1762-25MG | 04061834041061 |
| M1762-5MG | 04061833263907 |
