登录 查看组织和合同定价。
选择尺寸
变更视图
关于此项目
化学文摘社编号:
UNSPSC Code:
12352204
NACRES:
NA.54
MDL number:
Specific activity:
≥200 units/mg protein (E1%/280, 3′-5′-Phosphodiesterase)
Biological source:
Penicillium citrinum
biological source
Penicillium citrinum
Quality Level
form
lyophilized powder
specific activity
≥200 units/mg protein (E1%/280, 3′-5′-Phosphodiesterase)
secondary activity
≥1,000 units/mg protein 3′-nucleotidase
mol wt
42-50 kDa
packaging
vial of ≥250 units (using RNA substrate)
technique(s)
DNA extraction: suitable, DNA purification: suitable
suitability
suitable for molecular biology
application(s)
cell analysis
storage temp.
2-8°C
General description
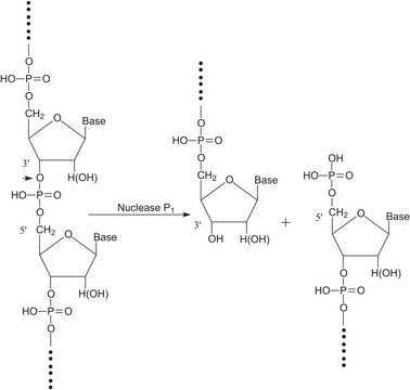
核酸酶P1是分子生物学领域最为人熟知的单链特异性核酸酶之一;核酸酶P1是单链特异性内切酶(ssDNA或ssRNA内切酶)。核酸酶P1还可切割双链核酸中的单链区域。
柑桔青霉来源核酸酶P1是一种锌依赖性内切核酸酶,在存在低浓度尿素的情况下表现出更强的活性。 核酸酶P1的选择性活性现已可用于核酸结构研究应用。
柑桔青霉来源核酸酶P1是一种锌依赖性内切核酸酶,在存在低浓度尿素的情况下表现出更强的活性。 核酸酶P1的选择性活性现已可用于核酸结构研究应用。
由270个氨基酸残基组成的一种锌依赖性糖蛋白。分子量:42-50 kDa。
Application
- 单链DNA或RNA经核酸酶P1切割为5'单核苷酸
- 核酸酶P1可用于支持DNA损伤和修饰研究
- 借助核酸酶P1,可完整核酸碱基相关的组分和结构分析
- 核酸酶P1一度用于从酵母RNA工业生产5′-单核苷酸。
- 通过核酸酶P1,可在蛋白质纯化过程中去除核酸
- 核酸酶P1是涉及t-RNA依赖性氨基酸生物合成和t-RNA依赖性转酰胺基的研究方法开发所需的关键试剂
- 柑桔青霉来源核酸酶P1已用于一项使用硫酸铵或聚乙二醇4000作为沉淀剂从而评估晶体结构的研究。
- 核酸酶P1还用于一项研究方法调查,可从5′或3′端基标记的RNA,直接对20-25个核苷酸进行序列分析。
- 核酸酶P1用于提高基于32P标记进行DNA加合物检测方法的灵敏度。
该酶具有约70 °C的最适温度,但低于60 °C的温度对于更长时间的孵育更为合适。它可稳定在pH 5 - 8范围内。
Biochem/physiol Actions
催化对单链DNA和RNA的非特异性核酸酶内切以产生核苷5′-磷酸和5′-磷酸寡核苷酸。它不会对双链的核酸具有明显的降解,特别是在pH6.0并有超过400 mM氯化钠存在的情况下。
Features and Benefits
我们的高活性核酸酶P1已通过3′- 5′ - 磷酸二酯酶活性和3′- 核苷酸酶活性测试,且是市场上活性最高的核酸酶P1
Other Notes
3′-5′-磷酸二酯酶:一单位的酶在37°C、pH 5.3条件下每分钟可从RNA释放1.0 μ摩尔的酸可溶性核苷酸。
3′-核酸酶:一单位的酶在37°C、pH 7.2条件下每分钟可将1.0 μ摩尔的正磷酸从3′-AMP中水解。
3′-核酸酶:一单位的酶在37°C、pH 7.2条件下每分钟可将1.0 μ摩尔的正磷酸从3′-AMP中水解。
signalword
Danger
hcodes
pcodes
Hazard Classifications
Resp. Sens. 1
存储类别
11 - Combustible Solids
wgk
WGK 3
flash_point_f
Not applicable
flash_point_c
Not applicable
ppe
Eyeshields, Gloves, type N95 (US)
法规信息
常规特殊物品
此项目有
Fahimeh Salehi et al.
Scientific reports, 8(1), 13902-13902 (2018-09-19)
DNA targeting anticancer agents have been very successful in clinic, especially, when used in combinatorial therapy. But unfortunately, they often exhibit high levels of toxicity towards normal cells. Hence, much effort has been put into finding agents with more selectivity
M V Reddy et al.
Carcinogenesis, 7(9), 1543-1551 (1986-09-01)
Exceedingly sensitive procedures are required to detect the presence of covalent DNA adducts in humans exposed to environmental genotoxicants because of low levels of such derivatives (1 adduct in 10(8)-10(10) DNA nucleotides). A 32P-postlabeling assay for detection and quantitation of
Enhancement of nuclease P1 activity in low concentration of denaturants
Gangadhara, K. and P. Gangadhara
Enzyme and Microbial Technology, 43, 7-7 (2008)
全球贸易项目编号
| 货号 | GTIN |
|---|---|
| N8630-1VL | 04061835512850 |
| N8630-5X1VL | 04061834118572 |
