跳转至内容
Merck
CN

P0537

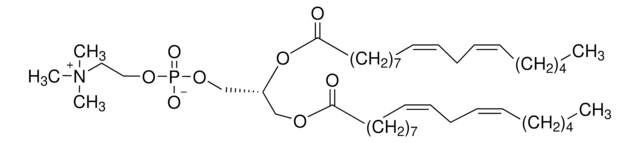
1,2-二亚油酰--甘油基-3-磷酸胆碱

≥99% (TLC), lyophilized powder

别名:

1,2-二(顺式-9,12-十八二烯酰基)-sn-甘油-3-磷酸胆碱, 1,2-二亚油酰基-3-sn-磷脂酰胆碱, PC(18:2(9Z,12Z)/18:2(9Z,12Z)), 二亚油酰基-L-α-磷脂酰胆碱

登录 查看组织和合同定价。

选择尺寸

变更视图

关于此项目

经验公式(希尔记法):
C44H80NO8P
化学文摘社编号:
分子量:
782.08
UNSPSC Code:
51191904
NACRES:
NA.25
PubChem Substance ID:
EC Number:
213-647-0
Beilstein/REAXYS Number:
5212188
MDL number:
技术服务
需要帮助?我们经验丰富的科学家团队随时乐意为您服务。
让我们为您提供帮助


biological source

synthetic (organic)

Quality Level

assay

≥99% (TLC)

form

lyophilized powder

functional group

amine, ester

lipid type

phosphoglycerides

shipped in

ambient

storage temp.

−20°C

SMILES string

[O-]P(OCC[N+](C)(C)C)(OC[C@]([H])(OC(CCCCCCC/C=C\C/C=C\CCCCC)=O)COC(CCCCCCC/C=C\C/C=C\CCCCC)=O)=O

InChI

1S/C44H80NO8P/c1-6-8-10-12-14-16-18-20-22-24-26-28-30-32-34-36-43(46)50-40-42(41-52-54(48,49)51-39-38-45(3,4)5)53-44(47)37-35-33-31-29-27-25-23-21-19-17-15-13-11-9-7-2/h14-17,20-23,42H,6-13,18-19,24-41H2,1-5H3/b16-14-,17-15-,22-20-,23-21-/t42-/m1/s1

InChI key

FVXDQWZBHIXIEJ-LNDKUQBDSA-N

Packaging

在氩气下包装。


存储类别

11 - Combustible Solids

wgk

WGK 3

flash_point_f

Not applicable

flash_point_c

Not applicable

ppe

Eyeshields, Gloves, type N95 (US)



历史批次信息供参考:

分析证书(COA)

Lot/Batch Number

没有发现合适的版本?

如果您需要特殊版本,可通过批号或批次号查找具体证书。

已有该产品?

在文件库中查找您最近购买产品的文档。

访问文档库



Karl-Josef Gundermann et al.
Pharmacological reports : PR, 63(3), 643-659 (2011-08-23)
Essential phospholipids (EPL) contain a highly purified extract of polyenylphosphatidylcholine (PPC) molecules from soybean. The main active ingredient is 1,2-dilinoleoylphosphatidylcholine (DLPC), which differentiates it from other phospholipids, lecithins, or extracts from other sources. Although EPLis widely used in liver diseases
Aniket Magarkar et al.
The journal of physical chemistry. B, 116(14), 4212-4219 (2012-03-17)
PEGylation is an effective mechanism to prolong the bloodstream lifetime, and thus efficacy, of drug delivery liposomes. The mechanism through which poly(ethylene glycol) (PEG) increases bloodstream lifetime is, however, not completely understood. The interaction with salt ions found in the
Megan M Koerner et al.
Biophysical journal, 101(2), 362-369 (2011-07-20)
Due to thermal motion and molecular polarizability, electrical interactions in biological systems have a dynamic character. Zwitterions are dipolar molecules that typically are highly polarizable and exhibit both a positive and a negative charge depending on the pH of the



全球贸易项目编号

货号GTIN
P0537-25MG04061832795966