登录 查看组织和合同定价。
选择尺寸
变更视图
关于此项目
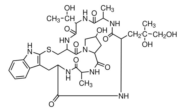
经验公式(希尔记法):
C35H48N8O11S
化学文摘社编号:
分子量:
788.87
NACRES:
NA.32
PubChem Substance ID:
UNSPSC Code:
12352202
EC Number:
241-484-5
MDL number:
Beilstein/REAXYS Number:
4347460
产品名称
鬼笔环肽 来源于鬼笔鹅膏, ≥90%
biological source
Amanita phalloides
Quality Level
assay
≥90%
form
powder
SMILES string
CC(O)C1NC(=O)C(C)NC(=O)C(CC(C)(O)CO)NC(=O)C2Cc3c(SCC(NC1=O)C(=O)N4CC(O)CC4C(=O)NC(C)C(=O)N2)[nH]c5ccccc35
InChI
1S/C35H48N8O11S/c1-15-27(47)38-22-10-20-19-7-5-6-8-21(19)41-33(20)55-13-24(34(53)43-12-18(46)9-25(43)31(51)37-15)40-32(52)26(17(3)45)42-28(48)16(2)36-30(50)23(39-29(22)49)11-35(4,54)14-44/h5-8,15-18,22-26,41,44-46,54H,9-14H2,1-4H3,(H,36,50)(H,37,51)(H,38,47)(H,39,49)(H,40,52)(H,42,48)
InChI key
KPKZJLCSROULON-UHFFFAOYSA-N
General description
鬼笔环肽是由死亡之帽鬼笔鹅膏产生的鬼笔毒素。它是一种可与肌动蛋白相互作用的环状肽,最早是在鬼笔环肽中毒的大鼠中发现的。它是一种七肽,本质上是环状的,在6位色氨酸和3位半胱氨酸之间具有交联键。鬼笔环肽中氨基酸7(γ-δ-二羟基亮氨酸)的侧链可被修饰,通过该修饰可以产生荧光标记的鬼笔环肽化合物。
Application
鬼笔环肽已用于:
- 作为 PEM 缓冲液和二甲基亚砜 (DMSO) 的补充剂。
- 作为药物。
- 在免疫组织化学中用于 F-肌动蛋白的染色。
Biochem/physiol Actions
鬼笔环肽与聚合肌动蛋白相互作用,而不与寡聚或单体形式相互作用。这种相互作用产生高度稳定的肌动蛋白丝,能抵抗解聚和分解。在大鼠中,这种毒素可导致肝出血死亡,细胞显示出异常的肌动蛋白聚集。对荧光标记的鬼笔环肽化合物进行衍生化后,鬼笔环肽对肌动蛋白的亲和力并未显著改变改变。这些化合物可用于研究真核细胞内肌动蛋白的结构和组织。
结合聚合F肌动蛋白的毒素,从而稳定肌动蛋白并干扰富含肌动蛋白的结构的功能。
鬼笔环肽是从鹅膏菌中分离出来的一种毒素,它与聚合 F 肌动蛋白结合,使其稳定并干扰
富含肌动蛋白结构的功能。
富含肌动蛋白结构的功能。
signalword
Danger
hcodes
Hazard Classifications
Acute Tox. 2 Oral
存储类别
6.1A - Combustible acute toxic Cat. 1 and 2 / very toxic hazardous materials
flash_point_f
Not applicable
flash_point_c
Not applicable
法规信息
高风险级别生物产品--毒素类产品
此项目有
Julia F Doerner et al.
Nature communications, 3, 990-990 (2012-08-09)
Bacterial mechanosensitive channels are some of the largest pores in nature. In particular, MscL, with a pore diameter >25 Å, allows passage of large organic ions and small proteins. Functional MscL reconstitution into lipids has been proposed for applications in
Ilida Ortega et al.
Acta biomaterialia, 9(3), 5511-5520 (2012-11-08)
Corneal stem cell niches are located within the limbus of the eye and are believed to play an important role in corneal regeneration. These niches are often lost in corneal disease or trauma. Our work explores the design of artificial
Cell-compatible, multicomponent protein arrays with subcellular feature resolution.
Ying Mei et al.
Small (Weinheim an der Bergstrasse, Germany), 4(10), 1600-1604 (2008-10-11)
全球贸易项目编号
| 货号 | GTIN |
|---|---|
| P2141-1MG | 04061834362562 |
