跳转至内容
Merck
CN

P4904

Platelet Activating Factor-16

≥98%, pro-inflammatory lipid mediator, powder

别名:

1-O-棕榈基-2-乙酰基-sn-甘油-3-磷酸胆碱 一水合物, 1-十六烷基-2-乙酰基-sn-甘油-3-磷酸胆碱, 2-乙酰基-1-十六烷基-sn-甘油-3-磷酸胆碱, 3-sn-磷脂酰胆碱,1-十六烷基-2-乙酰基, PAF(C16), 血小板活化因子

登录 查看组织和合同定价。

选择尺寸

变更视图

关于此项目

经验公式(希尔记法):
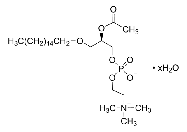
C26H54NO7P · xH2O
化学文摘社编号:
分子量:
523.68 (anhydrous basis)
UNSPSC Code:
12352211
PubChem Substance ID:
NACRES:
NA.77
Beilstein/REAXYS Number:
3574588
MDL number:
Assay:
≥98%
Form:
powder
Quality level:
技术服务
需要帮助?我们经验丰富的科学家团队随时乐意为您服务。
让我们为您提供帮助


产品名称

β-乙酰基-γ-O-十六烷基-L-α-磷脂酰胆碱 水合物, ≥98%

Quality Level

assay

≥98%

form

powder

storage temp.

−20°C

SMILES string

O.CCCCCCCCCCCCCCCCOC[C@H](COP([O-])(=O)OCC[N+](C)(C)C)OC(C)=O

InChI

1S/C26H54NO7P.H2O/c1-6-7-8-9-10-11-12-13-14-15-16-17-18-19-21-31-23-26(34-25(2)28)24-33-35(29,30)32-22-20-27(3,4)5;/h26H,6-24H2,1-5H3;1H2/t26-;/m1./s1

InChI key

HFMSDOHEENWULV-UFTMZEDQSA-N

Application

β-乙酰基-γ-O-十六烷基-L-α-磷脂酰胆碱已用于:
  • 研究其对马肺泡巨噬细胞和血液中性粒细胞中吞噬活性及超氧阴离子产生的影响
  • 在体外研究其对顺铂诱导的人黑色素瘤细胞系细胞死亡的保护作用
  • 测定其对大鼠宫颈成熟和白细胞浸润的影响

Biochem/physiol Actions

β-乙酰基-γ-O-十六烷基-L-α-磷脂酰胆碱又称血小板激活因子(PAF),是一种磷脂,也是促炎脂质介质。它作为G蛋白偶联血小板活化因子(PAF)受体的配体,参与气道收缩、低血压、血小板活化和血管通透性增加等生物学过程。PAF由血小板、中性粒细胞、内皮细胞和单核/巨噬细胞等多种细胞释放。由于PAF乙酰水解酶代谢快,产量低,血液中的PAF水平低。


存储类别

11 - Combustible Solids

wgk

WGK 3

flash_point_f

Not applicable

flash_point_c

Not applicable

ppe

Eyeshields, Gloves, type N95 (US)



历史批次信息供参考:

分析证书(COA)

Lot/Batch Number

没有发现合适的版本?

如果您需要特殊版本,可通过批号或批次号查找具体证书。

已有该产品?

在文件库中查找您最近购买产品的文档。

访问文档库



T Hiran et al.
Prostaglandins & other lipid mediators, 66(4), 305-315 (2002-01-12)
Platelet-activating factor (PAF) is an early product of the inflammatory environment, influencing development and resolution of inflammation. Its production is greater in neutrophils and macrophages, which predominantly synthesize 1-alkyl sn-2 acetyl glycerophosphocholine (GPC) than in nongranulocytes (B cells and endothelial
Naoki Okumura et al.
Journal of ocular pharmacology and therapeutics : the official journal of the Association for Ocular Pharmacology and Therapeutics, 22(5), 347-352 (2006-11-02)
The aim of this study was to examine the levels of platelet-activating factor (PAF) and lyso-PAF in tears from experimental animals developing allergic conjunctivitis (AC). AC was induced in guinea pigs by application of ovalbumin in eye drops. Tear samples
Adriana Vieira-de-Abreu et al.
International immunopharmacology, 5(13-14), 1966-1974 (2005-11-09)
New therapeutic approaches for the treatment of allergic diseases can be aided by the development of agents capable of regulating eosinophilic leukocytes. Here, we evaluated the anti-allergic properties of a crude extract of the Brazilian bromeliaceae Nidularium procerum, focusing on



全球贸易项目编号

货号GTIN
P4904-25MG04061833273579
P4904-5MG04061833273586
P4904-10MG04061833273562
P4904-1MG04061826676523