跳转至内容
Merck
CN

P8318

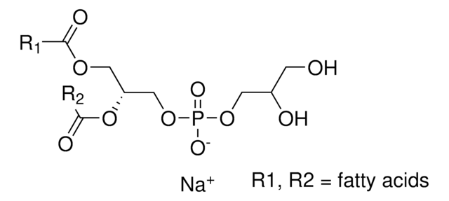
L-α-磷脂酰- DL -甘油 钠盐 来源于鸡蛋黄卵磷脂

≥99% (TLC), lyophilized powder

别名:

1,2-二酰--甘油-3-磷酸-(1- rac -甘油)

登录 查看组织和合同定价。

选择尺寸

变更视图

关于此项目

UNSPSC Code:
51191904
NACRES:
NA.25
技术服务
需要帮助?我们经验丰富的科学家团队随时乐意为您服务。
让我们为您提供帮助


biological source

egg yolk

Quality Level

assay

≥99% (TLC)

form

lyophilized powder

functional group

phospholipid

lipid type

phosphoglycerides

shipped in

ambient

storage temp.

−20°C

SMILES string

[Na+].OCC(O)COP([O-])(=O)OC[C@@H](O)CO

InChI

1S/C6H15O8P.Na/c7-1-5(9)3-13-15(11,12)14-4-6(10)2-8;/h5-10H,1-4H2,(H,11,12);/q;+1/p-1/t5-,6?;/m0./s1

InChI key

WYHDJJSICPMMFI-GNVLWMSISA-M

Packaging

在氩气下包装。


存储类别

11 - Combustible Solids

wgk

WGK 3

flash_point_f

Not applicable

flash_point_c

Not applicable

ppe

Eyeshields, Gloves, type N95 (US)



历史批次信息供参考:

分析证书(COA)

Lot/Batch Number

没有发现合适的版本?

如果您需要特殊版本,可通过批号或批次号查找具体证书。

已有该产品?

在文件库中查找您最近购买产品的文档。

访问文档库



Mohammad Aboulwafa et al.
Journal of bacteriology, 186(24), 8453-8462 (2004-12-04)
Plasmid-encoded His-tagged glucose permease of Escherichia coli, the enzyme IIBCGlc (IIGlc), exists in two physical forms, a membrane-integrated oligomeric form and a soluble monomeric form, which separate from each other on a gel filtration column (peaks 1 and 2, respectively).
José Pedro Cañavate et al.
Microbial ecology, 73(4), 755-774 (2016-11-12)
The high lipid diversity of microalgae has been used to taxonomically differentiate phytoplankton taxa at the class level. However, important lipids such as phospholipids (PL) and betaine lipids (BL) with potential chemotaxonomy application in phytoplankton ecology have been scarcely studied.
Ivan U Kouzel et al.
Journal of lipid research, 54(3), 692-710 (2012-12-19)
Glycosphingolipids (GSLs) of the globo-series constitute specific receptors for Shiga toxins (Stxs) released by certain types of pathogenic Escherichia coli strains. Stx-loaded leukocytes may act as transporter cells in the blood and transfer the toxin to endothelial target cells. Therefore



全球贸易项目编号

货号GTIN
P8318-25MG04061834401322
P8318-100MG04061834401308
P8318-10MG04061834401315