跳转至内容
Merck
CN

S0756

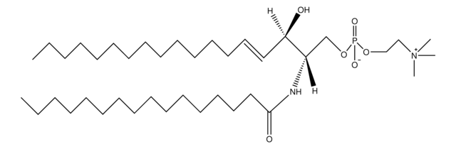
鞘髓磷脂

from chicken egg yolk, ≥95%

别名:

N-Acyl-4-sphingenyl-1-O-phosphorylcholine, N-酰基-D-鞘氨醇-1-磷酸胆碱

登录 查看组织和合同定价。

选择尺寸

变更视图

关于此项目

化学文摘社编号:
UNSPSC Code:
12352211
NACRES:
NA.25
EC Number:
286-097-2
MDL number:
技术服务
需要帮助?我们经验丰富的科学家团队随时乐意为您服务。
让我们为您提供帮助


biological source

chicken egg yolk

Quality Level

assay

≥95%

form

powder

solubility

chloroform/methanol: soluble 50 mg/mL, clear, colorless to faintly yellow (1:1)

functional group

phospholipid

lipid type

sphingolipids

shipped in

ambient

storage temp.

−20°C

SMILES string

CCCCCCCCCCCCC/C=C/[C@H]([C@@H](NC=O)COP(O)(OCC[N+](C)(C)C)=O)O

InChI

1S/C24H49N2O6P/c1-5-6-7-8-9-10-11-12-13-14-15-16-17-18-24(28)23(25-22-27)21-32-33(29,30)31-20-19-26(2,3)4/h17-18,22-24,28H,5-16,19-21H2,1-4H3,(H-,25,27,29,30)/p+1/b18-17+/t23-,24+/m0/s1

InChI key

LRYZPFWEZHSTHD-HEFFAWAOSA-O

General description

鞘磷脂(SM)是哺乳动物细胞膜中的主要鞘脂。已经研究了它的生物学功能。

Application

鞘磷脂适合使用:
  • 在酶法测定血浆鞘磷脂水平的标准制备品中
  • 研究血管抗凝血剂 α(VAC α)与平面磷脂双分子层的结合
  • 对联合超声处理的卵磷脂和鞘磷脂的分散体中的 PC16(N- [α-N-棕榈酰-ε-N-(4-硝基苯并-2-氧杂-1,3-二唑)-L-赖氨酸] -2-氨基乙醇-N-(三甲基氨基乙醇)磷酸盐)的进行荧光偏振
  • 用于将病毒离子通道蛋白 M2 重建成脂质体
  • 作为使用飞行时间二次离子质谱(ToF-SIMS)定义光谱指纹的标准样品
  • 评估各种磷脂对羊水中泡沫形成的贡献

Biochem/physiol Actions

鞘磷脂是 HDL 和质膜中第二丰富的脂质和主要的鞘脂成分。它形成富含胆固醇的脂筏。它在无质膜胆固醇的可用性中起关键作用。

Analysis Note

主要含有棕榈酸。


Still not finding the right product?

Explore all of our products under 鞘髓磷脂


存储类别

11 - Combustible Solids

wgk

WGK 3

flash_point_f

Not applicable

flash_point_c

Not applicable

ppe

Eyeshields, Gloves, type N95 (US)



历史批次信息供参考:

分析证书(COA)

Lot/Batch Number

没有发现合适的版本?

如果您需要特殊版本,可通过批号或批次号查找具体证书。

已有该产品?

在文件库中查找您最近购买产品的文档。

访问文档库


实验方案

(soybean), ≥97%; L-α-Phosphatidylethanolamine from egg yolk, Type III, ≥97% (TLC), lyophilized powder; L-α-Phosphatidylcholine, from egg yolk, Type XVI-E, ≥99% (TLC), lyophilized powder; Sphingomyelin, from chicken egg yolk, ≥95%


J C Russell
Clinical chemistry, 33(7), 1177-1184 (1987-07-01)
The mechanism of a new fluorescence polarization method for measuring phospholipid in amniotic fluid is described. The fluorescence polarization of a surfactant fluorescent dye solubilized in amniotic fluid correlates significantly with the L/S ratio. Model studies indicate that this results
D E Freer et al.
Clinical chemistry, 24(11), 1980-1984 (1978-11-01)
We evaluated the relative contributions of various phospholipids to the formation of foam in the amniotic fluid "foam stability test", by use of an artificial system of saline, ethanol, and dipalmitoyl 3-sn-phosphatidylcholine to determine the relationship between dipalmitoyl 3-sn-phosphatidylcholine concentration
Mohammad Reza Hojjati et al.
Journal of lipid research, 47(3), 673-676 (2005-12-24)
Sphingomyelin (SM) and phosphatidylcholine (PC) are two major phospholipids on plasma lipoproteins. Their concentration is classically measured by lipid extraction, thin-layer chromatography, and phosphate determination on separated SM or PC spots. Here, we describe two rapid, specific, and sensitive enzymatic



全球贸易项目编号

货号GTIN
S0756-10MG04061835534487
S0756-250MG04061835534500
S0756-50MG04061835549092
S0756-100MG04061836830700
S0756-1G04061835534494
S0756-500MG04061836830724