跳转至内容
Merck
CN

S9396

鞘磷酯酶 来源于蜡样芽胞杆菌

buffered aqueous glycerol solution, ≥100 units/mg protein (Lowry)

别名:

鞘磷脂磷酸二酯酶, 鞘磷脂胆碱磷酸水解酶

登录 查看组织和合同定价。

选择尺寸

变更视图

关于此项目

化学文摘社编号:
UNSPSC Code:
12352204
NACRES:
NA.54
MDL number:
Specific activity:
≥100 units/mg protein (Lowry)
技术服务
需要帮助?我们经验丰富的科学家团队随时乐意为您服务。
让我们为您提供帮助


form

buffered aqueous glycerol solution

Quality Level

specific activity

≥100 units/mg protein (Lowry)

mol wt

34.2 kDa

foreign activity

Phospholipase C ≤1%

storage temp.

2-8°C

Gene Information

Bacillus cereus ATCC 10987 ... spH(2751530)

General description

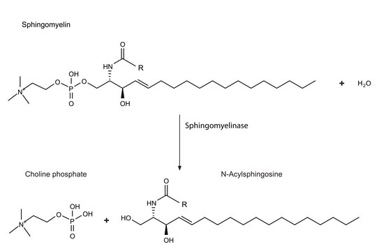
鞘磷脂酶(SMase)是一种水解酶,分子量为34.2 kDa,其活性位点至少包含两个镁原子。

Application

蜡样芽胞杆菌鞘磷脂酶已用于:
  • 在研究中分析鞘磷脂酶对细胞系风疹病毒感染性的影响
  • 用于体外生成胆固醇晶体的脂蛋白修饰
  • 聚集LDL(低密度脂蛋白)

鞘磷脂酶已用于评估肌动蛋白与HIV-1辅助蛋白Nef相互作用的研究中。 鞘磷脂酶也已用于研究X射线散射作为脂质体药物输送系统的质量控制工具的研究中。

Biochem/physiol Actions

鞘磷脂磷酸二酯酶(SMPD)参与包含鞘磷脂的代谢反应。SMPD具有预防结直肠癌和结肠炎的能力。
启动形成基于鞘磷脂的第二信使。激活 MAPK(丝裂原活化蛋白激酶)和 SAPKs(压力激活蛋白激酶);从鞘磷脂生成神经酰胺。

Physical form

溶于50%甘油,含有50 mM Tris-HCl,pH 7.5

Other Notes

在pH 7.4,37℃条件下,1个单位将每分钟水解1.0 μmol TNPAL-鞘磷脂。


Still not finding the right product?


存储类别

10 - Combustible liquids

wgk

WGK 3

flash_point_f

Not applicable

flash_point_c

Not applicable

法规信息

常规特殊物品

此项目有



历史批次信息供参考:

分析证书(COA)

Lot/Batch Number

没有发现合适的版本?

如果您需要特殊版本,可通过批号或批次号查找具体证书。

已有该产品?

在文件库中查找您最近购买产品的文档。

访问文档库



Characterization of Sphingomyelin Phosphodiesterase Expression in Bumblebee (Bombus lantschouensis)
Han L, et al.
Journal of Insect Science, 18(5), 20-20 (2018)
Raymond Tan et al.
Experimental and molecular pathology, 94(1), 51-57 (2012-06-23)
The HIV-1 accessory protein Nef is considered to play an important role in the development of a podocyte phenotype in HIV-1 associated nephropathy. We hypothesized that Nef may be altering the podocyte phenotype both structurally and functionally. To elucidate the
Analysis of the Effect of Sphingomyelinase on Rubella Virus Infectivity in Two Cell Lines
Otsuki N, et al.
Journal of virology (2017)



全球贸易项目编号

货号GTIN
S9396-25UN04061836961404
S9396-50UN04061832759760