跳转至内容
Merck
CN

SML3893

LCL521 dihydrochlroide

≥95% (HPLC)

别名:

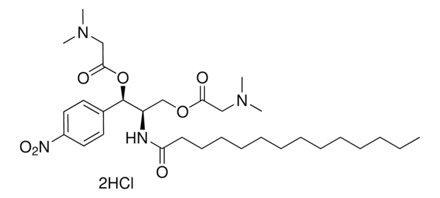
LCL-521, (1R,2R)-2-N-(Tetradecanoylamino)-1-(40-nitrophenyl)-propyl-1,3-O,O-di-(N,N-dimethylamino) acetate dihydrochloride, 1,3-DMG-B13, 1,3-O,O-DMG-B13•2HCl, 1,3-di-DMG-B13, B13: (1R,2R)-2-(tetradecanoylamino)-1-(4′-nitrophenyl)-1,3-propandiol), LCL 521

登录 查看组织和合同定价。

选择尺寸

变更视图

关于此项目

经验公式(希尔记法):
C31H52N4O7·2HCl
化学文摘社编号:
分子量:
665.69
UNSPSC Code:
51111800
MDL number:
NACRES:
NA.21
Assay:
≥95% (HPLC)
Form:
powder
Quality level:
Storage condition:
desiccated
技术服务
需要帮助?我们经验丰富的科学家团队随时乐意为您服务。
让我们为您提供帮助


Quality Level

assay

≥95% (HPLC)

form

powder

storage condition

desiccated

color

white to beige

solubility

DMSO: 2 mg/mL, clear

storage temp.

-10 to -25°C

SMILES string

CN(C)CC(O[C@H](C1=CC=C(C=C1)[N+]([O-])=O)[C@@H](COC(CN(C)C)=O)NC(CCCCCCCCCCCCC)=O)=O.[2HCl]

Biochem/physiol Actions

N,N-dimethyl glycine (DMG) diester prodrug form of the selective acid ceramidase (ACDase) inhibitor B13 for enhanced lysosomal delivery and cellular potency.



LCL521 is the N,N-dimethyl glycine (DMG) diester prodrug form of the selective acid ceramidase (ACDase) inhibitor B13 (no inhibition against NCDase/ASAH2 or AlkCDase/ACER2). The DMG enables efficient and targeted B13 lysosomal delivery, resulting in enhanced cellular ACDase inhibitory potency (by 70% vs 12% in MCF7, respectively, post 1h treatment by 1 μM LCL521 or 10 μM B13) and effective blockage of ceramide (Cer) to sphingosine (Sph) processing (80% vs 0% Sph level drop in MCF7, respectively, post 1h treatment by 1 μM LCL521 or 10 μM B13).

Disclaimer

Hygroscopic


存储类别

11 - Combustible Solids

wgk

WGK 3

flash_point_f

Not applicable

flash_point_c

Not applicable

法规信息

新产品

此项目有



历史批次信息供参考:

分析证书(COA)

Lot/Batch Number

It looks like we've run into a problem, but you can still download Certificates of Analysis from our 文件 section.

如需帮助,请联系 客户支持

已有该产品?

在文件库中查找您最近购买产品的文档。

访问文档库



全球贸易项目编号

货号GTIN
SML3893-25MG04065270628848
SML3893-5MG04065270628855