登录 查看组织和合同定价。
选择尺寸
变更视图
关于此项目
线性分子式:
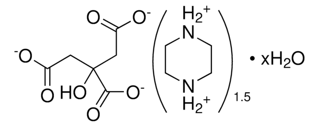
(C4H10N2)3 · (C6H8O7)2 · xH2O
化学文摘社编号:
分子量:
321.33 (anhydrous basis)
UNSPSC Code:
41116107
NACRES:
NA.24
PubChem Substance ID:
MDL number:
Beilstein/REAXYS Number:
3777748
grade
pharmaceutical primary standard
API family
piperazine
manufacturer/tradename
USP
application(s)
pharmaceutical (small molecule)
format
neat
storage temp.
2-8°C
SMILES string
OC(C(CC(O)=O)(CC(O)=O)O)=O.OC(C(CC(O)=O)(O)CC(O)=O)=O.O.N1CCNCC1.N2CCNCC2.N3CCNCC3
InChI
1S/2C6H8O7.3C4H10N2.H2O/c2*7-3(8)1-6(13,5(11)12)2-4(9)10;3*1-2-6-4-3-5-1;/h2*13H,1-2H2,(H,7,8)(H,9,10)(H,11,12);3*5-6H,1-4H2;1H2
InChI key
LWMBPKJYEQGDLN-UHFFFAOYSA-N
General description
This product is provided as delivered and specified by the issuing Pharmacopoeia. All information provided in support of this product, including SDS and any product information leaflets have been developed and issued under the Authority of the issuing Pharmacopoeia.
For further information and support please go to the website of the issuing Pharmacopoeia.
For further information and support please go to the website of the issuing Pharmacopoeia.
Application
Piperazine citrate USP reference standard, intended for use in specified quality tests and assays as specified in the USP compendia.
Analysis Note
These products are for test and assay use only. They are not meant for administration to humans or animals and cannot be used to diagnose, treat, or cure diseases of any kind.
Other Notes
Sales restrictions may apply.
signalword
Warning
hcodes
pcodes
Hazard Classifications
Eye Irrit. 2 - Skin Irrit. 2 - STOT SE 3
target_organs
Respiratory system
存储类别
11 - Combustible Solids
wgk
WGK 1
flash_point_f
Not applicable
flash_point_c
Not applicable
全球贸易项目编号
| 货号 | GTIN |
|---|---|
| 1541805-200MG | 04061833853672 |
