grade
pharmaceutical primary standard
API family
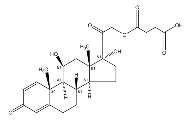
prednisolone
manufacturer/tradename
USP
application(s)
pharmaceutical (small molecule)
format
neat
storage temp.
2-8°C
SMILES string
C[C@]12C[C@H](O)[C@H]3[C@@H](CCC4=CC(=O)C=C[C@]34C)[C@@H]1CC[C@]2(O)C(=O)COC(=O)CCC(O)=O
InChI
1S/C25H32O8/c1-23-9-7-15(26)11-14(23)3-4-16-17-8-10-25(32,24(17,2)12-18(27)22(16)23)19(28)13-33-21(31)6-5-20(29)30/h7,9,11,16-18,22,27,32H,3-6,8,10,12-13H2,1-2H3,(H,29,30)/t16-,17-,18-,22+,23-,24-,25-/m0/s1
InChI key
APGDTXUMTIZLCJ-CGVGKPPMSA-N
General description
This product is provided as delivered and specified by the issuing Pharmacopoeia. All information provided in support of this product, including SDS and any product information leaflets have been developed and issued under the Authority of the issuing Pharmacopoeia.For further information and support please go to the website of the issuing Pharmacopoeia.
Application
Prednisolone hemisuccinate USP reference standard, intended for use in specified quality tests and assays as specified in the USP compendia.
Analysis Note
These products are for test and assay use only. They are not meant for administration to humans or animals and cannot be used to diagnose, treat, or cure diseases of any kind.
Other Notes
Sales restrictions may apply.
signalword
Danger
hcodes
Hazard Classifications
Repr. 1B
存储类别
6.1C - Combustible acute toxic Cat.3 / toxic compounds or compounds which causing chronic effects
flash_point_f
Not applicable
flash_point_c
Not applicable
法规信息
涉药品监管产品
此项目有
全球贸易项目编号
| 货号 | GTIN |
|---|---|
| 1556507-125MG | 04061833853900 |
