化学合成
产品种类齐全,可为您的各类化学研究技术提供支持。从库存试剂到专用催化剂和合成砌块,确保客户始终可在此找到最适宜的产品,缩短合成进程。我们庞大的产品线涵盖了各类偶联、卤化、格氏、氧化、保护、脱保护、还原、有机铝和有机硅试剂。
我们提供广泛的麻黄碱衍生物、恶唑烷酮衍生物和硫基手性助剂,以用于不对称合成中的立体选择性保护。
我们提供广泛的卤化底物供您选择,并可提高您的溴化、氯化、氟化、卤酸化和碘化研究成果的成功率。
我们的碳-碳键形成试剂产品组合可让您前所未有地更接近于基础碳-碳键形成偶联反应领域的突破。
我们可提供多种有机锌试剂用于已知键的形式和有机合成新技术的开发。
探索我们的有机铝试剂,以实现您的交叉偶联反应并促进发现新的键形成方法。
我们创新的有机硅试剂产品线包括乙硅烷、硅烷醇、硅氮烷、硅酸盐、硅氧烷、三烷氧基硅烷,可支持您所有突破性设想。
我们很荣幸能够提供广泛的硼酸及其衍生物,包括硼酸酯、三氟硼酸盐和MIDA硼酸酯,所有的硼酸衍生物均以烷基、烯基、芳基和杂芳基衍生物形式提供。
我们的结构单元、偶联剂和核苷产品组合将为您提供寡核苷酸或核苷类似物合成所需的有效起始物。
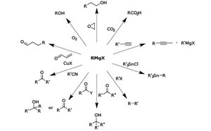
我们的顶级格氏试剂产品线可用于不同反应(如格氏反应),以形成新的碳-碳键。
我们的有机锂试剂对于已知键的成功形成(例如亲核加成和取代)以及有机合成新技术的开发至关重要。
我们可提供用于形成已知键和开发有机合成新技术的有机锡试剂和化合物。
我们提供有效的保护和去保护试剂,用于选择性控制多步有机合成中官能团转化的位点。
我们可提供多种氧化试剂选择来满足您特定的氧化反应需求,包括从中性氧化剂到自由基氧化剂,以及可用作还原剂或氧化试剂的混合体。
我们可基于您的小分子研究有机合成还原反应方法,提供适宜的还原剂,包括碱金属和金属氢化物。
如要继续阅读,请登录或创建帐户。
暂无帐户?











