格氏试剂格氏试剂_有机卤化镁_化学合成-默克生命科学

格氏试剂是镁金属与烷基或烯基卤化物反应形成的高反应性有机镁卤化物。它们是一类超强碱,可与酸性氢(例如醇、水和羧酸)发生反应。我们丰富的格氏试剂产品线(用于格氏反应以形成新的碳-碳键)将帮助您加快完成突破性研究。
什么是格氏试剂?
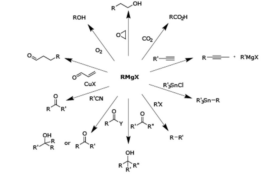
格氏试剂是化学式为RMgX的一类有机卤化镁,其中X代表卤素(-Cl、-Br或-I),R代表烷基或芳基(基于苯环)。为了引发格氏反应,需将格氏试剂添加至酮或醛中,以形成叔醇或仲醇。其与甲醛反应可生成伯醇。
格氏试剂可用于测定卤素化合物中存在的卤素原子数。格氏降解用于某些三酰基甘油的化学分析以及许多交叉偶联反应中,可形成多个碳-碳和碳-杂原子键。在工业上,格氏反应是乳腺癌治疗药物他莫昔芬生产的关键步骤。
制备格氏试剂
格氏试剂是以乙醚作为溶剂下,加热卤代烷烃和镁混合物制得。反应物应保持干燥,以免生成的格氏试剂与水发生反应。
Products
Compare
Product Number
Product Name
Product Description
Pricing
登录以继续。
如要继续阅读,请登录或创建帐户。
暂无帐户?