跳转至内容
Merck
CN
HomeProtein ExpressionRoar Assay Kits for Studies in Lipoprotein Metabolism

Roar Assay Kits for Studies in Lipoprotein Metabolism

Robert Brocia

Roar Biomedical, Inc.

This technical article is a compilation of select fluorescence-based activity assays developed by Roar Biomedical now offered through Sigma-Aldrich in kit format. The methods are well-characterized, validated assays with numerous citations in the scientific literature and protocols are provided to establish performance benchmarks according to published technical standards. The assay kits provide all necessary reagents for activity determination of cholesteryl ester transfer protein (CETP), microsomal [triglyceride] transfer protein (MTP), phospholipid transfer protein (PLTP), lecithin:cholesterol acyltransferase (LCAT) and lipoprotein lipase (LPL).

Appearing to be widely available, lipid transfer protein activity assays actually require the manufacture of a complex set of substrates, making the importance of assay validation something that cannot be overstated.1,2 The validation assays presented here highlight the results obtained with these kits, but detailed validation protocols, with the end user in mind, are provided in the insert. This report aims to supply relevant technical information for the methodologies, including design strategies and alternative procedures that may not be found in the individual technical bulletins.

Cholesteryl Ester Transfer Protein (CETP) Activity Assay Kit

CETP functions as a neutral lipid transfer protein in plasma catalyzing the transfer of cholesteryl esters and triglycerides among lipoproteins. Because of its influence on HDL and LDL concentrations, the active protein has become a target for therapeutic intervention.

Assaying CETP activity requires a donor / acceptor particle strategy that mimics physiologic conditions. Donor particles contain labeled neutral lipid within a core surrounded by a phospholipid shell forming a discrete entity. Conventional methods use radiolabeled-HDL donors paired with LDL acceptors that require separation to quantitate neutral lipid transferred. Measuring CETP activity in plasma samples with HDL-based methods has limitations that researchers should be aware of before setting up experiments. When plasma is the CETP source, endogenous HDL and HDL-based donors compete in the assay for CETP. This has the same effect as varying the specific activity of the donor with HDL concentration and results in an apparent change in CETP activity.

The CETP Activity Assay Kit3 (Product No. MAK106) is a fluorometric method providing quantitative measurement of CETP activity in a homogeneous assay format. The assay uses proprietary, non-HDL donor particles with a concentration-dependent, selfquenched fluorophore that fluoresces as the labeled substrate is moved away from the donor to the acceptor. Separation steps to quantitate transfer activity are eliminated by this strategy. The synthetically produced, non-HDL donor does not compete with HDL and is preferred by CETP over HDL. Excess acceptor particles, apo-B containing lipoproteins, normalize differences in endogenous acceptor concentrations among samples.

The CETP Kit is a dilution-type assay wherein plasma samples are diluted ~400-fold by the assay volume. Consequently, the effect on CETP activity from any component in the plasma is also diluted out. Reversible inhibitors may be added back to the assay in DMSO.

The assay is cited in compound patents and over 100 research papers for applications including measurement of CETP activity in plasma, serum and recombinant protein. It has been subjected to extensive validation by drug discovery programs for high-throughput screening and sponsored CROs conducting clinical trials. The substrate shelf life is 2 years.

CETP Activity Assay Protocol

  1. Premix total reagent volume providing each assay with 182 μl Assay Buffer, 4 μl Donor Particle and 4 μl Acceptor Particle.
  2. Add 190 μl of the mix to a fluorescence-compatible microplate.
  3. Dilute plasma samples in Assay Buffer and add 10 μl to each well.
  4. Incubate microplate at 37 ℃ for 180 minutes.
  5. Measure fluorescence at excitation 465 nm and emission at 535 nm.
  6. Calculate fluorescence transferred by subtracting fluorescence of Buffer Blanks.

Human plasma time course.

Raw fluorescence values (+/- SEM) from assays set up according to the Protocol with plasma and buffer blanks incubated at 37 ℃. Fluorescence was read at 60-minute time points and transferred fluorescence calculated by subtracting buffer blank fluorescence. The donor / acceptor pair are stable in the assay indicated by the lack of spontaneous transfer detected in the blank.

CETP activity in human plasma from 0.4 to 2 μl.

Assays were prepared according to the Protocol (4 μl Donor Particle, 4 μl Acceptor Particle, 182 μl Assay Buffer and 10 μl of 1:5 diluted plasma) and incubated at 37 ℃ for 180 minutes. Fluorescence was measured at excitation 465 nm and emission at 535 nm. Fluorescence transferred was calculated by subtracting the fluorescence of the Buffer Blanks from plasma samples. Picomoles of substrate transferred was determined using the standard curve. The assay is linear with up to 2 μl of plasma.

CETP Activity Assay Standardization

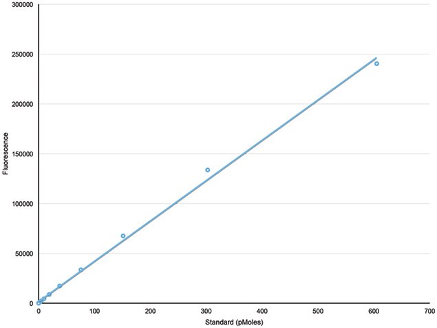
Linear quantitation with Donor Particle from 130 to 8.125 pmoles.

Dispersion of the Donor Particle in isopropanol disrupts the particle core releasing unquenched fluorescent substrate. A serial dilution of the dispersed Donor Particle was added to a microplate and read at excitation 465 nm / emission 535 nm and the fluorescence was plotted as a function of substrate concentration in pmoles/well. The linear relationship between fluorescence and pmoles of substrate in this standard provides a quantitative output for assay results.

Assay Validation with Torcetrapib4

CETP activity inhibition with torcetrapib from 0.78 to 62.4 nM.

Assays were set up in a microplate with premixed reagents consisting of 4 μl Donor Particle, 4 μl Acceptor Particle, 180 μl of Assay Buffer with increasing concentrations of torcetrapib in 2 μl of DMSO, ranging from 0.78 to 62.4 nM. Plasma, 10 μl (diluted 1:10) was added and the plate was incubated for 180 minutes at 37 ℃. Fluorescence was measured at excitation 465 nm and emission at 535 nm. Percent control was plotted against torcetrapib concentration with an IC50 of 4.5 nM.

Lecithin:Cholesterol Acyltransferase (LCAT) Activity Assay Kits

LCAT catalyzes the transfer of fatty acid from the sn-2 position of phosphatidylcholine to cholesterol in the formation of HDL core cholesteryl esters. This activity is the major source of cholesteryl esters in human plasma and plays an essential role in reverse cholesterol transport.1

Conventional LCAT assays measure protein activity by incubation of the sample with exogenous radiolabeled LCAT substate and cofactor at 37 ℃, followed by solvent extraction to separate lipids and separation of cholesterol from cholesteryl ester by TLC. The conversion amount of radiolabeled cholesteryl ester formed is determined. Alternatively, the esterification rate of plasma is measured using an enzymatic assay to determine the change in free cholesterol concentration in an incubated plasma sample versus an LCAT inhibited sample (the control).

The LCAT Activity Assay Kit (Product No. #MAK107) provides a dual-labeled, fluorometric substrate to detect LCAT activity in plasma, serum or purified protein. Activity is indicated by a change in the ratio of emission intensities of intact vs. hydrolyzed substrate after incubation with the Substrate Reagent and addition of the Read Reagent. Useful for research and drug discovery, the method has been cited in over 30 research papers.

Typical LCAT Activity Assay Protocol for Plasma Samples

  1. Premix total reagent volume providing each assay with 1 μl Substrate Reagent and 95 μl Assay Buffer.
  2. Add 96 μl of the mix to a microplate.
  3. Add 4 μl plasma sample to each assay.
  4. Incubate the plate at 37 ℃ for 3 to 6 hours.
  5. Add 200 μl of Read Reagent to each well.
  6. Transfer 200 μl from each well to a fluorescence-compatible microplate and read at excitation 325 nm / emission 390 nm and 470 nm.
  7. Plot the ratio of emission intensities 470/390 versus time.

Time course of LCAT activity in human plasma.

Assays containing 4 μl of fresh or heat inactivated (HI) plasma, 1 μl of Substrate Reagent and 95 μl of Assay Buffer were incubated at 37 ℃. At each time point, 200 μl Read Reagent was added and 200 μl of the mixture was transferred to a microplate. The fluorescence of the plate was read at excitation 325 nm and emission 470 nm and 390 nm. The ratio of intensities 470/390 was plotted against time.

LCAT Assay Validation with Iodoacetate2

LCAT activity inhibition with iodoacetate.

Assays with 4 μl of human plasma, 1 μl of Substrate Reagent and 95 μl of Assay Buffer were incubated at 37 ℃ with different concentrations of iodoacetate from 0.1 to 75 mM. After 3 hours, 200 μl of Read Reagent was added and fluorescence was measured as above.

Phospholipid Transfer Protein (PLTP) Activity Assay Kit

Plasma PLTP directly influences the size and composition of high density lipoproteins as it transfers phosphatidylcholine among circulating lipoproteins.

PLTP activity determination presents a different challenge to assay development. Unlike insoluble neutral lipid substrates, phospholipids spontaneously migrate between particles in the aqueous phase increasing the background signal of an activity assay. Conventionally, PLTP activity is measured in a radioisotopic assay with radiolabeled phosphatidylcholine incorporated into a liposome donor paired with unlabeled physiological HDL as the acceptor. After incubation with the source of PLTP, donor and acceptor are separated to quantitate transferred phospholipid.

The PLTP Activity Assay Kit1(Product No. #MAK108) is a homogeneous, fluorometric assay providing quantitative determination of PLTP activity in plasma, serum and other samples. This assay is used in studies as a plasma biomarker for cardiovascular disease and a method to detect emphysema2 from lung lavage samples. It is a validated method for compound screening and cited in over 30 research papers.

The method uses a self-quenched fluorophore in a strategy similar to that used with the other lipid transfer proteins. The unique donor / acceptor substrate particles provide results with unusually high signal-to-background from plasma or serum samples and minimize spontaneous transfer. Substrate shelf life is 2 years.

Typical PLTP Activity Assay Protocol for Plasma Samples

  1. Premix total reagent volume providing each assay with 22 μl Assay Buffer and 3 μl Donor Particle.
  2. Add 25 μl of the mix to a fluorescence-compatible microplate.
  3. Dilute plasma samples 1:10 in Assay Buffer and add 25 μl to each well.
  4. Add 50 μl of Acceptor Particles to each well.
  5. Incubate the plate at 25 ℃ for 8 to 16 minutes.
  6. Measure fluorescence at excitation 465 nm and emission at 535 nm.
  7. Calculate transfer by subtracting the fluorescence of the Buffer Blanks.

Raw data illustrating Donor / Acceptor stability under assay conditions.

Raw fluorescence (+/- SEM) from a time course with 2.5 μl plasma sample and buffer blank incubated at 25 ℃ for 20 minutes, read at 4 minute time points.

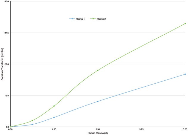
PLTP activity measured in human plasma samples with increasing amounts plasma.

Assays with 3 μl Donor Particle, 42 μl Assay Buffer and 5 μl of diluted plasma (containing 5 to 0.625 μl of plasma) were added to a microplate. Then 50 μl of Acceptor Particle was added and the plate was incubated for 20 minutes at 25 ℃. Fluorescence was measured in a microplate reader using excitation at 465 nm and emission detection at 535 nm. Picomoles transferred was calculated according to the standard below.

PLTP Activity Assay Standardization

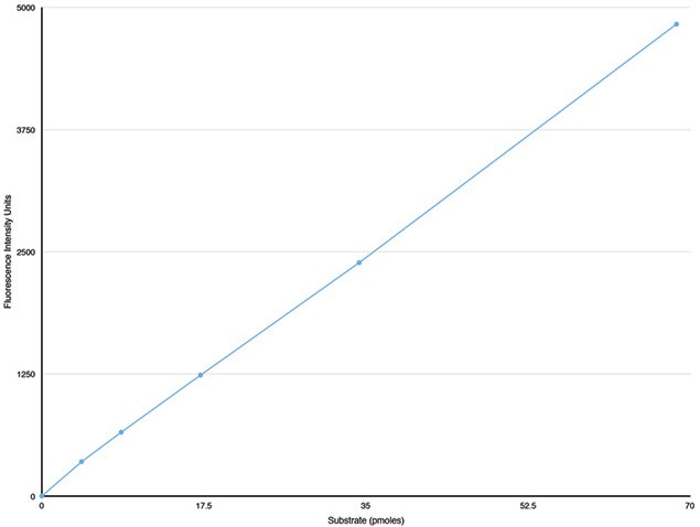
Linear quantitation with Donor Particle from 68.5 to 4.3 pmoles.

Dispersion of the Donor Particle in isopropanol disrupts the particle releasing unquenched fluorescent substrate. A serial dilution of the dispersed Donor Particle was added to a microplate and excited at 465 nm. The fluorescence intensity was measured at 535 nm and plotted as a function of substrate concentration in pmoles/well.

PLTP Activity Assay Validation with Thimerosal3

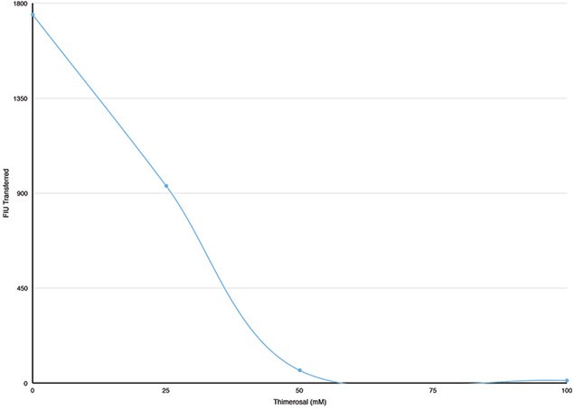
PLTP activity inhibition with thimerosal.

Plasma was diluted 1:10 with Assay Buffer and incubated with thimerosal at concentrations from 100 to 25 mM at 25 ℃ for 30 minutes. Assays were set up at each thimerosal concentration containing 15 μl of preincubated plasma and then incubated at 30 ℃ for 30 minutes. Fluorescence was measured at excitation 465 nm and emission at 535 nm. Fluorescence transferred was plotted versus thimerosal concentration.

Lipoprotein Lipase (LPL) Activity Assay Kit

Lipoprotein lipase, a lipolytic enzyme, catalyzes the hydrolysis of triglycerides associated with chylomicrons and VLDL circulating in the plasma.

Conventional LPL activity assays utilize emulsified radiolabeled triacylglycerol in the LPL substrate with apo-CII as co-factor. Incubation with post-heparin plasma is followed by solvent extraction to separate the lipids from the assay and radioactive fatty acids are separated by chromatography.

The LPL Activity Assay Kit (Product No. #MAK109) includes Substrate Emulsion and Standard to quantitate moles of substrate hydrolyzed. The non-fluorescent Substrate Emulsion becomes fluorescent once hydrolyzed and the fluorescence intensity units are converted to pmoles by linear regression using serially diluted Standard, which contains pre-hydrolyzed substrate.

Not specific for lipoprotein lipase, the method cross-reacts with other lipases including hepatic lipase.

Published studies measuring LPL activity in postheparin plasma using this kit, 1, 2, 3 have included measurement of hepatic lipase activity by inhibiting LPL with 1M NaCl.4 Assaying plasma samples requires compatible equipment in order to minimize interference from intrinsic fluorescence of proteins. For example, platereaders should be equipped with narrow bandwidth filters and monochromator-type detectors may not work with cut-off filters enabled.

The assay is cited in over 35 papers and may be used quantitatively to measure LPL activity in cell lysates and a variety of tissue homogenates. Higher LPL activity in tumor versus the adjacent non-cancerous lung tissue is reported using this method.5

LPL Activity Assay Protocol

  1. Reagents are premixed to provide each assay with 189 μl Assay Buffer and 1 μl Substrate Emulsion.
  2. Add 190 μl of the mix to a fluorescence-compatible microplate.
  3. Dilute samples in Assay Buffer and add 10 μl to each well.
  4. Incubate the plate at 25 ℃ for 8 to 16 minutes.
  5. Fluorescence is measured at excitation 370 nm and emission at 450 nm.

Detection of LPL activity.

Increasing amounts of lipoprotein lipase from Pseudomonas sp. was incubated in 200 μl with 1:180 dilution of Substrate Emulsion in Assay Buffer for 12 minutes at 25 ℃. Fluorescence was measured in a fluorescence microplate reader using excitation at 370 nm and emission detection at 450 nm. Fluorescence intensity units measured are converted to pmoles hydrolyzed using linear regression from the standard below.

Assay Standardization

Linear quantitation of the LPL Standard from 0.59 to 605 pmoles.

Diluted standard in a fluorescence microplate was excited at 370 nm. The fluorescence emission intensity was measured at 450 nm.

Assay Validation with Orlistat6

Inhibition of LPL by Orlistat.

LPL (0.8 U) was pre-incubated with Orlistat in DMSO at different concentrations (0.27 to 16.8 μM) for 10 minutes in 4 mM sodium deoxycholate, 0.1 mM linoleic acid, 10 mM Tris buffer pH 8.5 at 25 ℃. Each dilution (10 μl) was assayed for LPL activity as described above.

Microsomal [triglyceride] Transfer Protein (MTP) Activity Assay Kit

MTP is a neutral lipid transfer protein located in the lumen of the endoplasmic reticulum in hepatocytes and enterocytes where it operates as a necessary component for the assembly of triglyceride-rich, apo B-containing lipoproteins. The functional role MTP plays in the formation of these lipoproteins has been used to successfully reduce their concentration in human plasma by compound inhibition.

Conventionally, MTP activity is assayed by measuring the transfer of radiolabeled neutral lipid from donor unilamellar vesicles to acceptor vesicles, following incubation and separation of the donor / acceptor pair. The data are expressed as percent control.

The MTP activity assay kit1 (Product No. #MAK110) is a quantitative, homogeneous fluorometric method assessing transfer activity by an increase in fluorescence as labeled neutral lipid substrate is transferred from donor to acceptor.

This transfer detection strategy eliminates the separation step of conventional methods through a technique using a concentration-dependent, self-quenching fluorophore. Fluorophore-labeled lipids encapsulated in the donor core at relatively high concentration are self-quenched because energy of the excited state is dissipated among fluorophores. Movement of substrate to acceptor by the action of MTP places it in an environment at low fluorophore concentration and energy dissipation occurs through photon emission. This emission is detected as an increase in fluorescence intensity as substrate is transferred from donor to acceptor.

This method is compatible with a variety of MTP sources including hepG2 homogenate, rat or human liver and intestinal microsomes. The assay is a validated, high-throughput screening method for MTP inhibitors tolerating direct addition of test compounds solubilized in DMSO (<10% of the assay volume) and cited in over 50 research publications. Substrate shelf life is 2 years.

MTP Activity Assay Protocol

  1. Premix total reagent volume providing each assay with 182 μl Assay Buffer, 4 μl Donor Particle and 4 μl Acceptor Particle.
  2. Add 190 μl of the mix to a fluorescence-compatible microplate.
  3. Dilute MTP samples in Assay Buffer and add 10 μl to each well.
  4. Incubate microplate at 37 ℃ for 180 minutes.
  5. Measure fluorescence at excitation 465 nm and emission at 535 nm.
  6. Calculate fluorescence transferred by subtracting fluorescence of Buffer Blanks.

Raw data illustrating Donor / Acceptor stability.

Raw fluorescence (+/- SEM ) after incubation at 37 ℃ of microsomes for 180 minutes. Buffer blanks were incubated at 45, 90 and 180 minute time points to demonstrate the absence of transfer without the presence of MTP. The transfer assay donor / acceptor pair has a stable background fluorescence that does not increase over time at 37 ℃.

MTP activity in rat liver microsomes (RLM) from 1.56 to 6.25 μg of total protein.

Assays prepared with 4 μl Donor Particle, 4 μl Acceptor Particle, 187 μl Assay Buffer, 5 μl of diluted RLM with 1.56 to 6.25 μg of total protein. Incubated at 37 ℃ for 180 minutes. Fluorescence was measured at excitation 465 nm and emission at 535 nm. Fluorescence transferred was calculated by subtracting fluorescence of the Buffer Blanks and plotted as a function of total protein. Substrate transferred in pmoles is calculated from the standardization below.

MTP Assay Standardization

Linear quantitation with Donor Particle from 130 to 8.125 pmoles.

Dispersion of the Donor Particle in isopropanol disrupts the particle releasing unquenched fluorescent substrate. A serial dilution of the dispersed Donor Particle was added to a microplate and excited at 465 nm. The fluorescence intensity was measured at 535 nm and plotted as a function of substrate concentration in pmoles/well. Raw fluorescence from activity assays are converted to fluorescence transferred by subtracting the fluorescence of the assay Buffer Blank. Picomoles transferred may be calculated by linear regression using the standard curve.

MTP Activity Assay Validation with CP-346086, 2, 3

MTP activity inhibition with CP-346086.

Assays were set up in a microplate with premixed components consisting of 2 μl Donor Particle, 2 μl Acceptor Particle, 80 μl of Assay Buffer at 0.1% BSA with increasing concentrations of CP-346086 from 0.11 to 55 nM in DMSO. Purified MTP 5 μl was added and the plate was incubated for 60 minutes at 37 ℃. Fluorescence was measured at excitation 465 nm and emission at 535 nm. The percent control was plotted against CP-346086 concentration with an IC50 of 4 nM.

References

1.
Rifai N, Watson ID, Miller WG. 2012. Commercial Immunoassays in Biomarkers Studies: Researchers Beware!. 58(10):1387-1388. https://doi.org/10.1373/clinchem.2012.192351
2.
Git A. 2012. A recipe for disaster. Nature. 484(7395):439-440. https://doi.org/10.1038/484439a
3.
Clark RW, Ruggeri RB, Cunningham D, Bamberger MJ. 2006. Description of the torcetrapib series of cholesteryl ester transfer protein inhibitors, including mechanism of action. J. Lipid Res.. 47(3):537-552. https://doi.org/10.1194/jlr.m500349-jlr200
登录以继续。

如要继续阅读,请登录或创建帐户。

暂无帐户?