Skip to Content
Merck
CN

200557

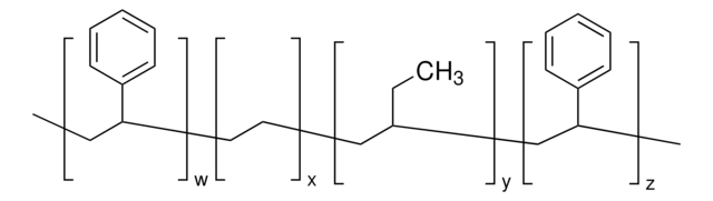
Polystyrene-block-poly(ethylene-ran-butylene)-block-polystyrene

powder, average Mw ~118,000 by GPC, contains >0.03% antioxidant as inhibitor

Synonym(s):

SEBS

Sign In to View Organizational & Contract Pricing.

Select a Size

Change View

About This Item

Linear Formula:
[-CH2CH(C6H5)-]W(-CH2CH2-)x[-CH2CH(C2H5)-]y[-CH2CH(C6H5)-]Z
CAS Number:
NACRES:
NA.23
PubChem Substance ID:
UNSPSC Code:
12162002
MDL number:
Technical Service
Need help? Our team of experienced scientists is here for you.
Let Us Assist


form

powder

Quality Level

mol wt

average Mw ~118,000 by GPC

contains

>0.03% antioxidant as inhibitor

viscosity

1,500 cP, 20 % in toluene, Brookfield(lit.)

density

0.91 g/mL at 25 °C (lit.)

SMILES string

C=C.C=CC=C.C=Cc1ccccc1

InChI

1S/C8H8.C4H6/c1-2-8-6-4-3-5-7-8;1-3-4-2/h2-7H,1H2;3-4H,1-2H2

InChI key

MTAZNLWOLGHBHU-UHFFFAOYSA-N

General description

Polystyrene-block-poly(ethylene-ran-butylene)-block-polystyrene(SEBS) is a thermoplastic triblock copolymer with excellent mechanical, chemical, and thermal stability. It is a phase-segregated material and can be functionalized for further applications.

Application

Polystyrene-block-poly(ethylene-ran-butylene)-block-polystyrene can be used:
  • As a precursor to synthesize anion exchange membranes for alkaline fuel cells.
  • To prepare super tough ternary polymer blends such as PS/LDPE/SEBS/xGnP ternary composites.
  • To synthesize biocompatible conductive polymers. For example, PEDOT: PSSpolymer thin films for stretchable electrodes.


Still not finding the right product?


Storage Class

11 - Combustible Solids

wgk

WGK 3

flash_point_f

Not applicable

flash_point_c

Not applicable

ppe

Eyeshields, Gloves, type N95 (US)



Choose from one of the most recent versions:

Certificates of Analysis (COA)

Lot/Batch Number

Don't see the Right Version?

If you require a particular version, you can look up a specific certificate by the Lot or Batch number.

Already Own This Product?

Find documentation for the products that you have recently purchased in the Document Library.

Visit the Document Library



Global Trade Item Number

SKUGTIN
200557-250G04061838145307