Skip to Content
Merck
CN

643440

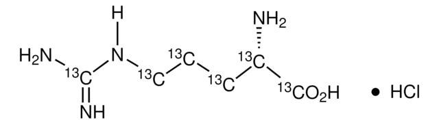
L-Arginine-13C6 hydrochloride

99 atom % 13C, 95% (CP)

Synonym(s):

SILAC Amino Acid, (S)-(+)-2-Amino-5-[(aminomethyl)amino]pentanoic acid-13C6 hydrochloride, 13C Labeled arginine, 13C Labeled arginine hydrochloride

Sign In to View Organizational & Contract Pricing.

Select a Size

Change View

About This Item

Linear Formula:
H2N13C(NH)NH13CH2(13CH2)213CH(NH2)13CO2H · HCl
CAS Number:
Molecular Weight:
216.62
NACRES:
NA.12
PubChem Substance ID:
UNSPSC Code:
12352209
MDL number:
Isotopic purity:
99 atom % 13C
Assay:
95% (CP)
Mass shift:
M+6
Form:
solid
Technical Service
Need help? Our team of experienced scientists is here for you.
Let Us Assist


isotopic purity

99 atom % 13C

Quality Level

assay

95% (CP)

form

solid

optical activity

[α]20/D +22°, c = 12 in 10% HCl

technique(s)

protein expression: suitable

mp

226-230 °C (dec.) (lit.)

mass shift

M+6

storage temp.

room temp

SMILES string

Cl[H].N[13C@@H]([13CH2][13CH2][13CH2]N[13C](N)=N)[13C](O)=O

InChI

1S/C6H14N4O2.ClH/c7-4(5(11)12)2-1-3-10-6(8)9;/h4H,1-3,7H2,(H,11,12)(H4,8,9,10);1H/t4-;/m0./s1/i1+1,2+1,3+1,4+1,5+1,6+1;

InChI key

KWTQSFXGGICVPE-BJPSCUOKSA-N

Application

Pulsed Stable Isotope labeling of amino acid has been used to study host-cell function, survival, the precise intracellular pathways in protein synthesis of HIV-1 infected human monocytederived macrophages. Identification of viral proteins from coronavirus infectious bronchitis-infected cells has been achieved with Stable Isotope labeling in conjunction with LC-MS/MS.

Packaging

This product may be available from bulk stock and can be packaged on demand. For information on pricing, availability and packaging, please contact Stable Isotopes Customer Service.


Storage Class

11 - Combustible Solids

wgk

WGK 3

flash_point_f

Not applicable

flash_point_c

Not applicable



Choose from one of the most recent versions:

Certificates of Analysis (COA)

Lot/Batch Number

Don't see the Right Version?

If you require a particular version, you can look up a specific certificate by the Lot or Batch number.

Already Own This Product?

Find documentation for the products that you have recently purchased in the Document Library.

Visit the Document Library


Related Content

蛋白质结构分析有助于发现对治疗至关重要的疾病生物标志物和药物靶点。

Protein structure analysis aids in identifying disease biomarkers and drug targets crucial for therapeutic treatments.


Gino L Turra et al.
Microbiology spectrum, 9(2), e0080921-e0080921 (2021-09-30)
Import and oxidative folding of proteins in the mitochondrial intermembrane space differ among eukaryotic lineages. While opisthokonts such as yeast rely on the receptor and oxidoreductase Mia40 in combination with the Mia40:cytochrome c oxidoreductase Erv, kinetoplastid parasites and other Excavata/Discoba
Stephanie D Kraft-Terry et al.
Journal of proteome research, 10(6), 2852-2862 (2011-04-20)
Dynamic interactions between human immunodeficiency virus-1 (HIV-1) and the macrophage govern the tempo of viral dissemination and replication in its human host. HIV-1 affects macrophage phenotype, and the macrophage, in turn, can modulate the viral life cycle. While these processes
Zehan Hu et al.
Cell reports, 28(13), 3486-3496 (2019-09-26)
The target of rapamycin complex 1 (TORC1) is a master regulator of cell homeostasis, which promotes anabolic reactions and synchronously inhibits catabolic processes such as autophagy-mediated protein degradation. Its prime autophagy target is Atg13, a subunit of the Atg1 kinase



Global Trade Item Number

SKUGTIN
643440-250MG04061841668695
643440-100MG04061832729701