Sign In to View Organizational & Contract Pricing.
Select a Size
Change View
About This Item
Empirical Formula (Hill Notation):
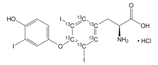
13C6C9H12I3NO4 · HCl
CAS Number:
Molecular Weight:
693.39
NACRES:
NA.24
PubChem Substance ID:
UNSPSC Code:
12142200
MDL number:
Isotopic purity:
99 atom % 13C
Assay:
95% (CP)
Mass shift:
M+6
Form:
powder
isotopic purity
99 atom % 13C
Quality Level
assay
95% (CP)
form
powder
technique(s)
mass spectrometry (MS): suitable
mass shift
M+6
storage temp.
−20°C
SMILES string
Cl.N[C@@H](C[13c]1[13cH][13c](I)[13c](Oc2ccc(O)c(I)c2)[13c](I)[13cH]1)C(O)=O
InChI
1S/C15H12I3NO4.ClH/c16-9-6-8(1-2-13(9)20)23-14-10(17)3-7(4-11(14)18)5-12(19)15(21)22;/h1-4,6,12,20H,5,19H2,(H,21,22);1H/t12-;/m0./s1/i3+1,4+1,7+1,10+1,11+1,14+1;
InChI key
HFEMPWKWYHWPQX-JHEBROADSA-N
Packaging
This product may be available from bulk stock and can be packaged on demand. For information on pricing, availability and packaging, please contact Stable Isotopes Customer Service.
signalword
Warning
hcodes
Hazard Classifications
Repr. 2 - STOT SE 3
target_organs
Respiratory system
Storage Class
11 - Combustible Solids
wgk
WGK 3
flash_point_f
Not applicable
flash_point_c
Not applicable
Choose from one of the most recent versions:
Already Own This Product?
Find documentation for the products that you have recently purchased in the Document Library.
Global Trade Item Number
| SKU | GTIN |
|---|---|
| 709611-1MG | 04061826751640 |
| 709611-5MG | 04061833637890 |

