Skip to Content
Merck
CN

733334

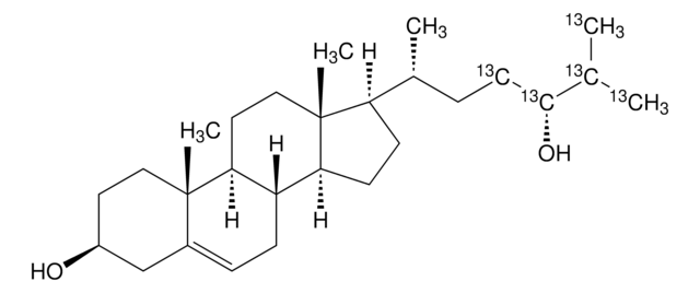
24(S)-Hydroxycholesterol-23,24,25,26,27-13C5

99 atom % 13C, 98% (CP)

Synonym(s):

5-Cholestene-3β,24-diol-23,24,25,26,27-13C5

Sign In to View Organizational & Contract Pricing.

About This Item

Empirical Formula (Hill Notation):
13C5C22H46O2
Molecular Weight:
407.62
PubChem Substance ID:
UNSPSC Code:
12352002
Isotopic purity:
99 atom % 13C
Assay:
98% (CP)
Mass shift:
M+5
Form:
solid


isotopic purity

99 atom % 13C

assay

98% (CP)

form

solid

technique(s)

mass spectrometry (MS): suitable

mass shift

M+5

SMILES string

C[C@H](C[13CH2][13C@@H](O)[13CH]([13CH3])[13CH3])[C@H]1CC[C@H]2[C@@H]3CC=C4C[C@@H](O)CC[C@]4(C)[C@H]3CC[C@]12C

InChI

1S/C27H46O2/c1-17(2)25(29)11-6-18(3)22-9-10-23-21-8-7-19-16-20(28)12-14-26(19,4)24(21)13-15-27(22,23)5/h7,17-18,20-25,28-29H,6,8-16H2,1-5H3/t18-,20+,21+,22-,23+,24+,25-,26+,27-/m1/s1/i1+1,2+1,11+1,17+1,25+1

InChI key

IOWMKBFJCNLRTC-LXSOUMLFSA-N

General description

24(S)-Hydroxycholesterol-23,24,25,26,27-13C5 99 atom % 13C, 98% (CP) is a high-purity isotope product with a unique chemical profile that belongs to the class of isotopes. Produced by Sigma-Aldrich, we are committed to providing quality isotope products and a reliable supply chain. Available in industrial and pre-pack quantities.

Application

- High-resolution NMR spectroscopy
- Metabolomic profiling and pathway analysis
- Stable Isotope probing in Environmental microbiology
- Analytical method development

Features and Benefits

Features
  • Versatile use in different formulations involving 24(S)-Hydroxycholesterol-23,24,25,26,27-13C5 99 atom % 13C, 98% (CP).
  • Exceptional stability and compatibility with various ingredients.
  • Cost-effective solution for 24(S)-Hydroxycholesterol-23,24,25,26,27-13C5 99 atom % 13C, 98% (CP) applications.
  • High purity of 24(S)-Hydroxycholesterol-23,24,25,26,27-13C5 99 atom % 13C, 98% (CP) ensures optimal performance.


Benefits
  • Reduces time to market for products utilizing 24(S)-Hydroxycholesterol-23,24,25,26,27-13C5 99 atom % 13C, 98% (CP).
  • Increases market competitiveness of products containing 24(S)-Hydroxycholesterol-23,24,25,26,27-13C5 99 atom % 13C, 98% (CP).
  • Enhances product efficacy and reliability in formulations.
  • Improves overall product quality and consumer satisfaction.

Packaging

This product may be available from bulk stock and can be packaged on demand. For information on pricing, availability and packaging, please contact Stable Isotopes Customer Service.


Storage Class

11 - Combustible Solids

wgk

WGK 3

flash_point_f

Not applicable

flash_point_c

Not applicable



Choose from one of the most recent versions:

Certificates of Analysis (COA)

Lot/Batch Number

It looks like we've run into a problem, but you can still download Certificates of Analysis from our Documents section.

If you need assistance, please contact Customer Support

Already Own This Product?

Find documentation for the products that you have recently purchased in the Document Library.

Visit the Document Library