Sign In to View Organizational & Contract Pricing.
Select a Size
Change View
About This Item
Empirical Formula (Hill Notation):
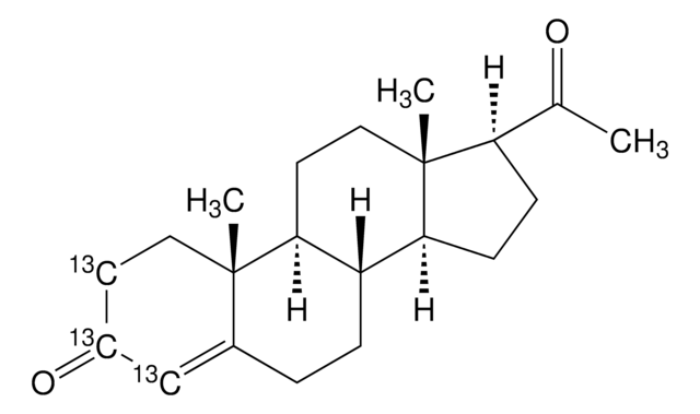
13C3C18H30O2
CAS Number:
Molecular Weight:
317.44
NACRES:
NA.24
PubChem Substance ID:
UNSPSC Code:
12142200
MDL number:
Isotopic purity:
99 atom % 13C
Assay:
98% (CP)
Mass shift:
M+3
Form:
powder
isotopic purity
99 atom % 13C
Quality Level
assay
98% (CP)
form
powder
technique(s)
mass spectrometry (MS): suitable
mp
128-132 °C (lit.)
mass shift
M+3
storage temp.
−20°C
SMILES string
CC(=O)[C@H]1CC[C@H]2[C@@H]3CCC4=[13CH][13C](=O)[13CH2]C[C@]4(C)[C@H]3CC[C@]12C
InChI
1S/C21H30O2/c1-13(22)17-6-7-18-16-5-4-14-12-15(23)8-10-20(14,2)19(16)9-11-21(17,18)3/h12,16-19H,4-11H2,1-3H3/t16-,17+,18-,19-,20-,21+/m0/s1/i8+1,12+1,15+1
InChI key
RJKFOVLPORLFTN-TZDZRSEPSA-N
Packaging
This product may be available from bulk stock and can be packaged on demand. For information on pricing, availability and packaging, please contact Stable Isotopes Customer Service.
signalword
Danger
hcodes
Hazard Classifications
Carc. 2 - Lact. - Repr. 1A
Storage Class
6.1C - Combustible acute toxic Cat.3 / toxic compounds or compounds which causing chronic effects
wgk
WGK 3
flash_point_f
Not applicable
flash_point_c
Not applicable
Choose from one of the most recent versions:
Already Own This Product?
Find documentation for the products that you have recently purchased in the Document Library.
Jian Liu et al.
The Journal of international medical research, 46(4), 1414-1427 (2018-02-23)
Objective This study was performed to investigate the effects of age and sex on 10 salivary steroid hormones and analyze the correlations between salivary and plasma hormones. Methods The concentrations of 10 salivary steroid hormones in 1090 Chinese adult volunteers
Maria E Nilsson et al.
Endocrinology, 156(7), 2492-2502 (2015-04-10)
Accurate measurement of sex steroid concentrations in rodent serum is essential to evaluate mouse and rat models for sex steroid-related disorders. The aim of the present study was to develop a sensitive and specific gas chromatography-tandem mass spectrometry (GC-MS/MS) method
Global Trade Item Number
| SKU | GTIN |
|---|---|
| 737143-1MG | 04061826751879 |
| 737143-5MG | 04061833638163 |
