Skip to Content
Merck
CN

739545

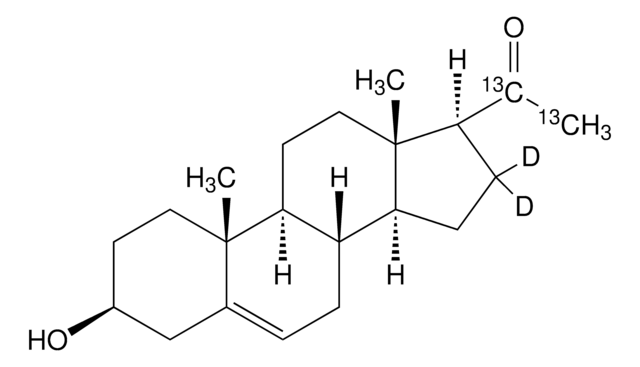
Pregnenolone-20,21-13C2-16,16-d2

≥98 atom %, ≥98% (CP)

Synonym(s):

3β-Hydroxy-5-pregnen-20-one-20,21-13C2-16,16-d2

Sign In to View Organizational & Contract Pricing.

Select a Size

Change View

About This Item

Empirical Formula (Hill Notation):
13C2C19D2H30O2
Molecular Weight:
320.48
NACRES:
NA.24
PubChem Substance ID:
UNSPSC Code:
12352200
MDL number:
Isotopic purity:
 13C,  D, ≥98 atom %
Assay:
≥98% (CP)
Mass shift:
M+4
Form:
powder
Technical Service
Need help? Our team of experienced scientists is here for you.
Let Us Assist


Quality Level

isotopic purity

 13C,  D, ≥98 atom %

assay

≥98% (CP)

form

powder

technique(s)

mass spectrometry (MS): suitable

mass shift

M+4

storage temp.

−20°C

SMILES string

[2H]C1([2H])C[C@H]2[C@@H]3CC=C4C[C@@H](O)CC[C@]4(C)[C@H]3CC[C@]2(C)[C@H]1[13C]([13CH3])=O

InChI

1S/C21H32O2/c1-13(22)17-6-7-18-16-5-4-14-12-15(23)8-10-20(14,2)19(16)9-11-21(17,18)3/h4,15-19,23H,5-12H2,1-3H3/t15-,16-,17+,18-,19-,20-,21+/m0/s1/i1+1,6D2,13+1

InChI key

ORNBQBCIOKFOEO-KXHQNKTISA-N

Packaging

This product may be available from bulk stock and can be packaged on demand. For information on pricing, availability and packaging, please contact Stable Isotopes Customer Service.


Storage Class

11 - Combustible Solids

wgk

WGK 3

flash_point_f

Not applicable

flash_point_c

Not applicable



Choose from one of the most recent versions:

Certificates of Analysis (COA)

Lot/Batch Number

Don't see the Right Version?

If you require a particular version, you can look up a specific certificate by the Lot or Batch number.

Already Own This Product?

Find documentation for the products that you have recently purchased in the Document Library.

Visit the Document Library



Antonio G Gomes de Mello Martins et al.
The Journal of steroid biochemistry and molecular biology, 174, 183-191 (2017-09-12)
CYP17A1-independent intratumoral steroid hormone synthesis is regarded as one possible explanation for resistance to treatment with the CYP17-inhibitor Abiraterone (Abi). The aim of our study was therefore to investigate the steroid metabolism of prostate cancer cells under serum starvation and



Global Trade Item Number

SKUGTIN
739545-1MG04061826532188
739545-5MG04061826532201