Skip to Content
Merck
CN

749478

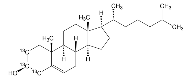
Cholesterol-2,3,4-13C3

99 atom % 13C, 98% (CP)

Synonym(s):

3β-Hydroxy-5-cholestene-2,3,4-13C3, 5-Cholesten-3β-ol-2,3,4-13C3

Sign In to View Organizational & Contract Pricing.

Select a Size

Change View

About This Item

Empirical Formula (Hill Notation):
13C3C24H46O
Molecular Weight:
389.63
NACRES:
NA.24
PubChem Substance ID:
UNSPSC Code:
12142200
MDL number:
Isotopic purity:
99 atom % 13C
Assay:
98% (CP)
Mass shift:
M+3
Form:
powder
Technical Service
Need help? Our team of experienced scientists is here for you.
Let Us Assist


isotopic purity

99 atom % 13C

Quality Level

assay

98% (CP)

form

powder

technique(s)

mass spectrometry (MS): suitable

mp

147-149 °C (lit.)

mass shift

M+3

storage temp.

−20°C

SMILES string

CC(C)CCC[C@@H](C)[C@H]1CC[C@H]2[C@@H]3CC=C4[13CH2][13C@@H](O)[13CH2]C[C@]4(C)[C@H]3CC[C@]12C

InChI

1S/C27H46O/c1-18(2)7-6-8-19(3)23-11-12-24-22-10-9-20-17-21(28)13-15-26(20,4)25(22)14-16-27(23,24)5/h9,18-19,21-25,28H,6-8,10-17H2,1-5H3/t19-,21+,22+,23-,24+,25+,26+,27-/m1/s1/i13+1,17+1,21+1

InChI key

HVYWMOMLDIMFJA-FCBPLXADSA-N

Packaging

This product may be available from bulk stock and can be packaged on demand. For information on pricing, availability and packaging, please contact Stable Isotopes Customer Service.


Storage Class

11 - Combustible Solids

wgk

WGK 1

flash_point_f

Not applicable

flash_point_c

Not applicable



Choose from one of the most recent versions:

Certificates of Analysis (COA)

Lot/Batch Number

Don't see the Right Version?

If you require a particular version, you can look up a specific certificate by the Lot or Batch number.

Already Own This Product?

Find documentation for the products that you have recently purchased in the Document Library.

Visit the Document Library



Global Trade Item Number

SKUGTIN
749478-2MG04061833241226
749478-5MG04061832897257