Skip to Content
Merck
CN

900951

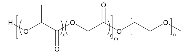
Poly(ethylene glycol) methyl ether-block-poly(lactide-co-glycolide)

PEG average Mn 5,000, PLGA Mn 10,000, lactide:glycolide 50:50

Synonym(s):

PEG-PLGA, Polyethylene glycol, mPEG-b-PLGA

Sign In to View Organizational & Contract Pricing.

Select a Size

Change View

About This Item

Linear Formula:
H[(C3H4O2)x(C2H2O2)y]mO[C2H4O]nCH3
CAS Number:
NACRES:
NA.23
UNSPSC Code:
51171641
Technical Service
Need help? Our team of experienced scientists is here for you.
Let Us Assist


form

chunks

feed ratio

lactide:glycolide 50:50

mol wt

PEG average Mn 5,000, PLGA Mn 10,000

storage temp.

−20°C

General description

Contains ≤500 ppm impurities by GC, including trace monomer and residual organics.

Application

Biocompatible block copolymer. Can be used in the formation of nanoparticles for drug delivery. Potenial use in the targeted and/or controlled release of cancer drugs, anti-inflammatory drugs, antibiotics, or anesthetic agents.


Still not finding the right product?


Storage Class

11 - Combustible Solids

wgk

WGK 3

flash_point_f

Not applicable

flash_point_c

Not applicable



Choose from one of the most recent versions:

Certificates of Analysis (COA)

Lot/Batch Number

Don't see the Right Version?

If you require a particular version, you can look up a specific certificate by the Lot or Batch number.

Already Own This Product?

Find documentation for the products that you have recently purchased in the Document Library.

Visit the Document Library



Fabienne Danhier et al.
Journal of controlled release : official journal of the Controlled Release Society, 133(1), 11-17 (2008-10-28)
The purpose of this study was to develop Cremophor EL-free nanoparticles loaded with Paclitaxel (PTX), intended to be intravenously administered, able to improve the therapeutic index of the drug and devoid of the adverse effects of Cremophor EL. PTX-loaded PEGylated
Miles A Miller et al.
Nature communications, 6, 8692-8692 (2015-10-28)
Therapeutic nanoparticles (TNPs) aim to deliver drugs more safely and effectively to cancers, yet clinical results have been unpredictable owing to limited in vivo understanding. Here we use single-cell imaging of intratumoral TNP pharmacokinetics and pharmacodynamics to better comprehend their
R Gref et al.
Science (New York, N.Y.), 263(5153), 1600-1603 (1994-03-18)
Injectable nanoparticulate carriers have important potential applications such as site-specific drug delivery or medical imaging. Conventional carriers, however, cannot generally be used because they are eliminated by the reticulo-endothelial system within seconds or minutes after intravenous injection. To address these



Global Trade Item Number

SKUGTIN
900951-1G04061826648315