Skip to Content
Merck
CN

906972

F-M

≥98%

Synonym(s):

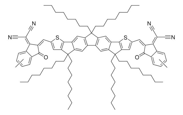
4,4,7,7,12,12-octyl-7,12-dihydro- bis[methylidyne(3-oxo-methyl-1H indene-2,1(3H)-diylidene)]]bis-4H-thieno[2″,3″:1′,2′]indeno[5′,6′:5,6]-s-indaceno[1,2-b]thiophene, FTIC-C8C8M

Sign In to View Organizational & Contract Pricing.

Select a Size

Change View

About This Item

Empirical Formula (Hill Notation):
C99H122N4O2S2
CAS Number:
Molecular Weight:
1464.18
MDL number:
UNSPSC Code:
12352101
NACRES:
NA.23
Technical Service
Need help? Our team of experienced scientists is here for you.
Let Us Assist


description

Band gap: 1.72 eV, Band gap: Eg = 1.72 eV, Solubility: Soluble in Chloroform, CB and ODCB

assay

≥98%

form

solid

orbital energy

HOMO -5.42 eV , LUMO -3.70 eV 

SMILES string

[s]1c2c(cc1\C=C%10/C(=O)c%11c(cccc%11)C/%10=C(C#N)C#N)C(c3c2cc4c(c3)c5c(cc6c(c5)C(c7c6[s]c(c7)\C=C8/C(=O)c9c(cccc9)C/8=C(C#N)C#N)(CCCCCCCC)CCCCCCCC)C4(CCCCCCCC)CCCCCCCC)(CCCCCCCC)CCCCCCCC.CC.CC

InChI key

XPHYXDLZYTYOBX-OMQJLYAYSA-N

General description

Non-fullerene acceptors (NFAs) are currently a major focus of research in the development of bulk-heterojunction organic solar cells (OSCs). In contrast to the widely used fullerene acceptors (FAs), the optical properties and electronic energy levels of NFAs can be designed and readily tuned. NFA-based OSCs can also achieve greater thermal stability and photochemical stability, as well as longer device lifetimes, than their FA-based counterparts.Recent developments have led to a rapid increase in power conversion efficiencies for NFA OSCs, with values now exceeding 15% in a single junction cell, and >17% for a tandem cell, demonstrating the viability of using NFAs to replace FAs in next-generation high-performance OSCs.

Application

F-M is a non-fullerene acceptor that absorbs visible light, when used in a front cell paired with NIR absorbing rear cell, the resulted tandem organic solar cell gave a record energy conversion efficiency of 17.3%.

Tandem Cell Device performance:
ITO/ZnO/PFN-Br/PBDB-T:F-M/M-PEDOT/ZnO/PTB7- Th:O6T-4F:PC71BM/MoO3/Ag
Voc=1.642 V
Jsc=14.35 mA/cm2
FF=73.7%
PCE=17.3%


Storage Class

11 - Combustible Solids

wgk

WGK 3

flash_point_f

Not applicable

flash_point_c

Not applicable



Choose from one of the most recent versions:

Certificates of Analysis (COA)

Lot/Batch Number

It looks like we've run into a problem, but you can still download Certificates of Analysis from our Documents section.

If you need assistance, please contact Customer Support

Already Own This Product?

Find documentation for the products that you have recently purchased in the Document Library.

Visit the Document Library


Articles

Professor Chen (Nankai University, China) and his team explain the strategies behind their recent record-breaking organic solar cells, reaching a power conversion efficiency of 17.3%.


Lingxian Meng et al.
Science (New York, N.Y.), 361(6407), 1094-1098 (2018-08-11)
Although organic photovoltaic (OPV) cells have many advantages, their performance still lags far behind that of other photovoltaic platforms. A fundamental reason for their low performance is the low charge mobility of organic materials, leading to a limit on the



Global Trade Item Number

SKUGTIN
906972-100MG04022536040691