Skip to Content
Merck
CN

909904

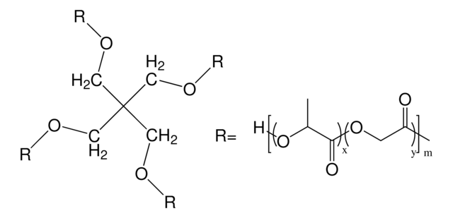
4arm-poly(lactide-co-glycolide)

average Mn 38,000-60,000, lactide:glycolide 55:45

Synonym(s):

4 arm PLGA, 4 arm-PLGA, 4arm-PLGA

Sign In to View Organizational & Contract Pricing.

Select a Size

Change View

About This Item

Linear Formula:
C5H8O4((((C3H4O2)x(C2H2O2)y)m)H)4
NACRES:
NA.23
UNSPSC Code:
12162002
Technical Service
Need help? Our team of experienced scientists is here for you.
Let Us Assist


form

powder or chunks

feed ratio

lactide:glycolide 55:45

mol wt

average Mn 38,000-60,000

color

white to tan

storage temp.

−20°C

Application

Biocompatible and biodegradable polymer. Can be used in the formation of nanoparticles for drug delivery. The multi-arm molecular structure might promote high drug loading, superior colloidal stability, as well as long circulation time.


Storage Class

11 - Combustible Solids

wgk

WGK 3

flash_point_f

Not applicable

flash_point_c

Not applicable



Choose from one of the most recent versions:

Certificates of Analysis (COA)

Lot/Batch Number

Don't see the Right Version?

If you require a particular version, you can look up a specific certificate by the Lot or Batch number.

Already Own This Product?

Find documentation for the products that you have recently purchased in the Document Library.

Visit the Document Library


Articles

Professor Robert K. Prud’homme introduces flash nanoprecipitation (FNP) for nanoparticle fabrication, which is a scalable, rapid mixing process for nanoparticle formulations.


Xiuxiu Wang et al.
Biomacromolecules, 19(4), 1368-1373 (2018-03-20)
PLGA, a copolymer of lactide and glycolide, is one of the most used biodegradable polymers that find a wide range of biomedical applications including drug delivery and tissue engineering. However, in spite of remarkable advancement, nanotherapeutics based on PLGA might
R Gref et al.
Science (New York, N.Y.), 263(5153), 1600-1603 (1994-03-18)
Injectable nanoparticulate carriers have important potential applications such as site-specific drug delivery or medical imaging. Conventional carriers, however, cannot generally be used because they are eliminated by the reticulo-endothelial system within seconds or minutes after intravenous injection. To address these