Skip to Content
Merck
CN

914304

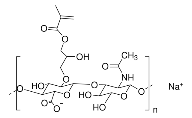
Hyaluronic acid methacrylate

average degree of substitution 35%, average Mw 100,000-150,000 Da

Synonym(s):

Functioanlized hyaluronic, HA methacrylamide, HAMA, Hyaluronic acid MA, Hyaluronic acid (HA) & derivatives

Sign In to View Organizational & Contract Pricing.

Select a Size

Change View

About This Item

Linear Formula:
(NaC20H28NO15)n
NACRES:
NA.23
UNSPSC Code:
12352106
Form:
(powder or chunk(s) or fibers)
Technical Service
Need help? Our team of experienced scientists is here for you.
Let Us Assist


description

NMR: Conforms to structure

Quality Level

form

(powder or chunk(s) or fibers)

mol wt

average Mw 100,000-150,000 Da

color

white to off-white

storage temp.

2-8°C

Application

Hyaluronic acid (HA) is a linear polysaccharide of alternating D-glucuronic acid and N-acetyl-D-glucosamine found primarily in connective tissues. HA based hydrogels are widely used in tissue engineering, 3D bioprinting, and drug deliery applications. The methacrylate functionalized hyaluronic acid is photo-crosslinkable, and can be used to generate crosslinked hydrogels.


Still not finding the right product?

Explore all of our products under Hyaluronic acid methacrylate


Storage Class

11 - Combustible Solids

flash_point_f

Not applicable

flash_point_c

Not applicable



Choose from one of the most recent versions:

Certificates of Analysis (COA)

Lot/Batch Number

Don't see the Right Version?

If you require a particular version, you can look up a specific certificate by the Lot or Batch number.

Already Own This Product?

Find documentation for the products that you have recently purchased in the Document Library.

Visit the Document Library


Articles

Engineered ECMs enhance immune therapy in cancer treatment by supporting cells and tissues and modulating immune response. They improve immune cell maturation, expansion, and regulation through biomaterial manipulation, acting as frameworks or carriers for enhanced tumor immunotherapy.


Cindy Chung et al.
Tissue engineering. Part A, 15(2), 243-254 (2009-02-06)
Mesenchymal stem cells (MSCs) are multipotent progenitor cells whose plasticity and self-renewal capacity have generated significant interest for applications in tissue engineering. The objective of this study was to investigate MSC chondrogenesis in photo-cross-linked hyaluronic acid (HA) hydrogels. Because HA
Judy Yeh et al.
Biomaterials, 27(31), 5391-5398 (2006-07-11)
Encapsulation of mammalian cells within hydrogels has great utility for a variety of applications ranging from tissue engineering to cell-based assays. In this work, we present a technique to encapsulate live cells in three-dimensional (3D) microscale hydrogels (microgels) of controlled
Aleksander Skardal et al.
Tissue engineering. Part A, 16(8), 2675-2685 (2010-04-15)
Bioprinting by the codeposition of cells and biomaterials is constrained by the availability of printable materials. Herein we describe a novel macromonomer, a new two-step photocrosslinking strategy, and the use of a simple rapid prototyping system to print a proof-of-concept



Global Trade Item Number

SKUGTIN
914304-500MG04061842044924