Skip to Content
Merck
CN

936529

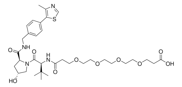
(S,R,S)-AHPC-CO-PEG4-C2-acid

≥95%

Synonym(s):

(S)-18-[(2S,4R)-4-Hydroxy-2-[[4-(4-methylthiazol-5-yl)benzyl]carbamoyl]pyrrolidine-1-carbonyl]-19,19-dimethyl-16-oxo-4,7,10,13-tetraoxa-17-azaicosanoic acid, (S)-18-[[(2S,4R)-4-Hydroxy-2-[[4-(4-methylthiazol-5-yl)benzyl]carbamoyl]pyrrolidin-1-yl]carbonyl]-19,19-dimethyl-16-oxo-4,7,10,13-tetraoxa-17-azaicosanoic acid, L-Prolinamide, N-(15-carboxy-1-oxo-4,7,10,13-tetraoxapentadec-1-yl)-3-methyl-L-valyl-4-hydroxy-N-[[4-(4-methyl-5-thiazolyl)phenyl]methyl]-, (4R)-

Sign In to View Organizational & Contract Pricing.

Select a Size

Change View

About This Item

Empirical Formula (Hill Notation):
C34H50N4O10S
CAS Number:
Molecular Weight:
706.85
UNSPSC Code:
12352106
NACRES:
NA.22
MDL number:
Technical Service
Need help? Our team of experienced scientists is here for you.
Let Us Assist


ligand

VH032

Quality Level

assay

≥95%

form

powder or crystals

color

White to Beige

storage temp.

2-8°C

SMILES string

C([C@@H](NC(CCOCCOCCOCCOCCC(O)=O)=O)[C@](C)(C)C)(=O)N1[C@H](C(NCC2=CC=C(C=C2)C3=C(C)N=CS3)=O)C[C@@H](O)C1

InChI

1S/C34H50N4O10S/c1-23-30(49-22-36-23)25-7-5-24(6-8-25)20-35-32(43)27-19-26(39)21-38(27)33(44)31(34(2,3)4)37-28(40)9-11-45-13-15-47-17-18-48-16-14-46-12-10-29(41)42/h5-8,22,26-27,31,39H,9-21H2,1-4H3,(H,35,43)(H,37,40)(H,41,42)/t26-,27+,31-/m1/s1

InChI key

WCMFOLDVYYDUGD-FMVCKAMOSA-N

Application

(S,R,S)-AHPC-CO-PEG4-C2-acid is a functionalized von Hippel-Lindau (VHL) ligand. It contains a terminal carboxyl group for conjugation with amine linkers. A basic building block for development of a protein degrader library.

Technology Spotlight:

Degrader Building Blocks for Targeted Protein Degradation
Protein Degrader Building Blocks

Legal Information

PROTAC is a registered trademark of Arvinas Operations, Inc., and is used under license.


Storage Class

11 - Combustible Solids

wgk

WGK 3

flash_point_f

Not applicable

flash_point_c

Not applicable

Regulatory Information

新产品

This item has



Choose from one of the most recent versions:

Certificates of Analysis (COA)

Lot/Batch Number

It looks like we've run into a problem, but you can still download Certificates of Analysis from our Documents section.

If you need assistance, please contact Customer Support

Already Own This Product?

Find documentation for the products that you have recently purchased in the Document Library.

Visit the Document Library



Global Trade Item Number

SKUGTIN
936529-50MG04065270787163