Skip to Content
Merck
CN

880510P

Avanti

14:0 PEG550 PE

Avanti Research - A Croda Brand

Synonym(s):

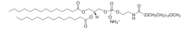
1,2-dimyristoyl-sn-glycero-3-phosphoethanolamine-N-[methoxy(polyethylene glycol)-550] (ammonium salt)

Sign In to View Organizational & Contract Pricing.

Select a Size

Change View

About This Item

CAS Number:
UNSPSC Code:
12352211
NACRES:
NA.25
Technical Service
Need help? Our team of experienced scientists is here for you.
Let Us Assist


Product Name

14:0 PEG550 PE, Avanti Research - A Croda Brand 880510P, powder

assay

>99% (TLC)

form

powder

packaging

pkg of 1 × 25 mg (880510P-25mg)

manufacturer/tradename

Avanti Research - A Croda Brand 880510P

shipped in

dry ice

storage temp.

−20°C

SMILES string

[H][C@@](COP([O-])(OCCNC(OCCOCCOCCOCCOCCOCCOCCOCCOCCOCCOCCOCCOC)=O)=O)(OC(CCCCCCCCCCCCC)=O)COC(CCCCCCCCCCCCC)=O.[NH4+]

InChI

1S/C59H116NO22P.H3N/c1-4-6-8-10-12-14-16-18-20-22-24-26-57(61)79-54-56(82-58(62)27-25-23-21-19-17-15-13-11-9-7-5-2)55-81-83(64,65)80-29-28-60-59(63)78-53-52-77-51-50-76-49-48-75-47-46-74-45-44-73-43-42-72-41-40-71-39-38-70-37-36-69-35-34-68-33-32-67-31-30

InChI key

KEIXSZLRQVRTCP-DRZXTAICSA-N

General description

14:0 PEG550 PE is a synthetic anionic lipid. It contains 14-carbon acyl chains conjugated to phosphoethanolamine headgroup and polyethylene-glycol. The molecular weight and exact mass are averages based on the polydispersity of PEG.

Application

14:0 PEG550 PE might be used as lipid additive to study its effect on the phase properties of hydrated monoolein. It is also suitable for use in the formation of liposomes encapsulating hemoglobin (LEHs).

Biochem/physiol Actions

14:0 PEG550 PE is applicable in targeted drug delivery. It favors the formation of hexagonal (HI)-phase lipids.

Packaging

5 mL Clear Glass Sealed Ampule (880510P-25mg)

Legal Information

Avanti Research is a trademark of Avanti Polar Lipids, LLC


Storage Class

11 - Combustible Solids

wgk

WGK 3



Choose from one of the most recent versions:

Certificates of Analysis (COA)

Lot/Batch Number

It looks like we've run into a problem, but you can still download Certificates of Analysis from our Documents section.

If you need assistance, please contact Customer Support

Already Own This Product?

Find documentation for the products that you have recently purchased in the Document Library.

Visit the Document Library



Brian J Nablo et al.
Biophysical journal, 95(3), 1157-1164 (2008-07-23)
Nonelectrolyte polymers of poly(ethylene glycol) (PEG) were used to estimate the diameter of the ion channel formed by the Bacillus anthracis protective antigen 63 (PA(63)). Based on the ability of different molecular weight PEGs to partition into the pore and



Global Trade Item Number

SKUGTIN
880510P-25MG04061835192472