Skip to Content
Merck
CN

189512

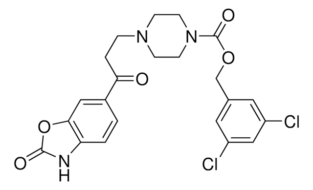
Autotaxin Inhibitor III, PF-8380

The Autotaxin Inhibitor III, PF-8380, also referenced under CAS 1144035-53-9, controls the biological activity of Autotaxin. This small molecule/inhibitor is primarily used for Membrane applications.

Synonym(s):

Autotaxin Inhibitor III, PF-8380, 6-(3-(Piperazin-1-yl)propanoyl)-benzo[d]oxazol-2(3H)-one, Atx Inhibitor III, PF-8380

Sign In to View Organizational & Contract Pricing.

Select a Size

Change View

About This Item

Empirical Formula (Hill Notation):
C22H21Cl2N3O5
CAS Number:
Molecular Weight:
478.33
UNSPSC Code:
51111800
NACRES:
NA.28
MDL number:
Assay:
≥95% (HPLC)
Form:
powder
Quality level:
Storage condition:
OK to freeze, protect from light
Technical Service
Need help? Our team of experienced scientists is here for you.
Let Us Assist


Quality Level

assay

≥95% (HPLC)

form

powder

manufacturer/tradename

Calbiochem®

storage condition

OK to freeze, protect from light

color

tan

solubility

DMSO: 100 mg/mL

shipped in

dry ice

storage temp.

−20°C

SMILES string

O=C(OCC1=CC(Cl)=CC(Cl)=C1)N2CCN(CCC(C3=CC(OC(N4)=O)=C4C=C3)=O)CC2

InChI

1S/C22H21Cl2N3O5/c23-16-9-14(10-17(24)12-16)13-31-22(30)27-7-5-26(6-8-27)4-3-19(28)15-1-2-18-20(11-15)32-21(29)25-18/h1-2,9-12H,3-8,13H2,(H,25,29)

InChI key

JMSUDQYHPSNBSN-UHFFFAOYSA-N

General description

An orally bioavailable piperazinylbenzoxazolone compound that acts as a substrate competitive and tight-binding inhibitor of autotaxin activity {IC50 = 2.8 and 1.7 nM for recombinant human enzyme-β isoform employing FS-3 and LPC (lysophosphatidylcholine) as substrates, respectively; 1.16 and 1.15 nM for rat/murine enzyme-FS-3 and fetal fibroblast cell-LPC; 101 nM for human whole blood}. Displays desirable pharmacokinetics properties and efficiently blocks inflammation-induced LPA (lysophosphatidic acid) production both in plasma and at the site of inflammation by 95% in rat adjuvant-induced arthritis model (30 mg/kg, p.o.).

Packaging

Packaged under inert gas

Preparation Note

Following reconstitution, aliquot and freeze (-20°C). Stock solutions are stable for up to 6 months at -20°C.

Other Notes

Gierse, J., et al. 2010. J. Pharmacol. Exp. Ther.334, 310.

Legal Information

CALBIOCHEM is a registered trademark of Merck KGaA, Darmstadt, Germany

Disclaimer

Toxicity: Standard Handling (A)


Storage Class

11 - Combustible Solids

wgk

WGK 3

flash_point_f

Not applicable

flash_point_c

Not applicable



Certificates of Analysis (COA)

Search for Certificates of Analysis (COA) by entering the products Lot/Batch Number. Lot and Batch Numbers can be found on a product’s label following the words ‘Lot’ or ‘Batch’.

Already Own This Product?

Find documentation for the products that you have recently purchased in the Document Library.

Visit the Document Library



Global Trade Item Number

SKUGTIN
189512-10MG04055977221886