Skip to Content
Merck
CN

8.55051

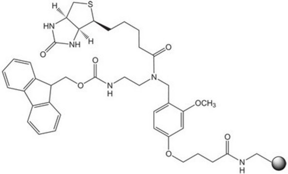
Biotin NovaTag® resin

Novabiochem®

Synonym(s):

N-Biotin-NÆ-Fmoc-ethylenediamine MPB-AM resin

Sign In to View Organizational & Contract Pricing.

Select a Size

Change View

About This Item

UNSPSC Code:
12352209
Technical Service
Need help? Our team of experienced scientists is here for you.
Let Us Assist


product line

NovaSyn® TG, Novabiochem®

form

beads

reaction suitability

reaction type: Fmoc solid-phase peptide synthesis

manufacturer/tradename

Novabiochem®

application(s)

peptide synthesis

functional group

amine

storage temp.

15-25°C

General description

Biotin NovaTag resin is an ideal tool for the synthesis of peptides labeled with biotin. As the biotin moiety is incorporated into the linker, its use eliminates the problems associated with biotin-labeling of peptides, namely poor solubility and sluggish coupling kinetics of biotin and its derivatives. Following peptide assembly under standard Fmoc SPPS conditions, cleavage with TFA affords the peptide labeled with biotin. For a recent applications see [1,2].

Associated Protocols and Technical Articles
Protocols for Loading of Peptide Synthesis Resins

Literature references

[1] M. Carraz, et al. (2009) Chemistry & Biology, 16, 702.
[2] S. Millward, et al. (2007) Chem. Biol., 2, 625.

Analysis Note

Color (visual): white to light yellow to beige
Appearance of substance (visual): beads
Loading (Photometric determination of the Fmoc-chromophore liberated upon treatment with DBU/DMF): 0.35 - 0.65 mmol/g
Swelling Volume (in DMF): lot specific result
The polymer metrix is copoly (styrene - 1% DVB), 100 - 200 mesh.

Other Notes

Replaces: 04-12-3901

Legal Information

NOVATAG is a registered trademark of Merck KGaA, Darmstadt, Germany
Novabiochem is a registered trademark of Merck KGaA, Darmstadt, Germany
NOVASYN is a registered trademark of Merck KGaA, Darmstadt, Germany


Storage Class

11 - Combustible Solids

wgk

WGK 1

flash_point_f

Not applicable

flash_point_c

Not applicable

Regulatory Information

新产品

This item has



Certificates of Analysis (COA)

Search for Certificates of Analysis (COA) by entering the products Lot/Batch Number. Lot and Batch Numbers can be found on a product’s label following the words ‘Lot’ or ‘Batch’.

Already Own This Product?

Find documentation for the products that you have recently purchased in the Document Library.

Visit the Document Library





Global Trade Item Number

SKUGTIN
855051000104027269111496
855051850004027269111502