Sign In to View Organizational & Contract Pricing.
Select a Size
Change View
About This Item
Empirical Formula (Hill Notation):
C6H14N2O2 · HCl
CAS Number:
Molecular Weight:
182.65
UNSPSC Code:
85151701
NACRES:
NA.24
PubChem Substance ID:
MDL number:
Beilstein/REAXYS Number:
5460909
grade
analytical standard
Quality Level
form
liquid
analyte chemical class(es)
amino acids, peptides, proteins
concentration
100 mM amino acid in 0.1 M HCl
technique(s)
HPLC: suitable, gas chromatography (GC): suitable
color
colorless
application(s)
food and beverages
format
single component solution
storage temp.
2-8°C
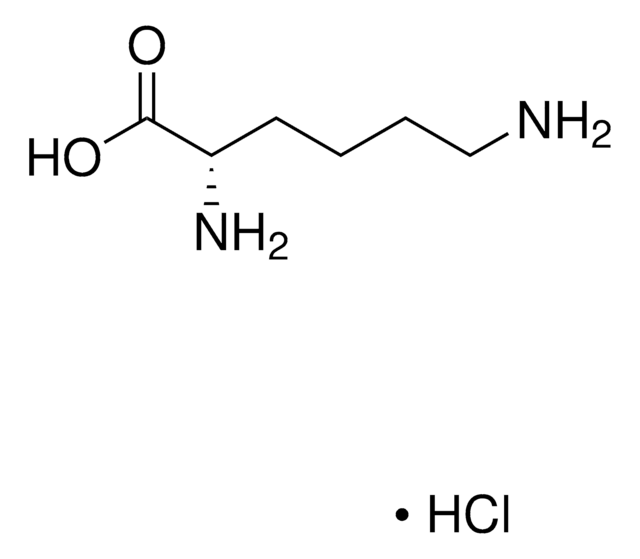
SMILES string
Cl.NCCCC[C@H](N)C(O)=O
InChI
1S/C6H14N2O2.ClH/c7-4-2-1-3-5(8)6(9)10;/h5H,1-4,7-8H2,(H,9,10);1H/t5-;/m0./s1
InChI key
BVHLGVCQOALMSV-JEDNCBNOSA-N
General description
L-Lysine hydrochloride is one of the essential amino acids which usually finds applications in the treatment of shingles and genital as well mouth lesions attributed to herpes zoster and herpes simplex virus, respectively.
Application
L-Lysine hydrochloride may be used as a reference standard for the determination of L-lysine hydrochloride in pharmaceutical dosage form by high resolution high performance liquid chromatography (HR-HPLC). It may be used as a precursor of lysine for its determination in breath condensate by isotope dilution hydrophilic-interaction liquid chromatography combined with tandem mass spectrometry (HILIC-MS/MS).
Refer to the product′s Certificate of Analysis for more information on a suitable instrument technique. Contact Technical Service for further support.
signalword
Warning
hcodes
pcodes
Hazard Classifications
Met. Corr. 1
ppe
Eyeshields, Gloves
flash_point_f
Not applicable
flash_point_c
Not applicable
Storage Class
12 - Non Combustible Liquids
Choose from one of the most recent versions:
Already Own This Product?
Find documentation for the products that you have recently purchased in the Document Library.
Development and validation of new hplc method for simultaneous estimation of L-lysine hydrochloride and L-carnitine-L-tartrate in pharmaceutical dosage form.
Qadir MA, et al.
Indian Journal of Pharmaceutical Sciences, 77(4), 434-434 (2015)
Simultaneous determination of the advanced glycation end product Nε-carboxymethyllysine and its precursor, lysine, in exhaled breath condensate using isotope-dilution-hydrophilic-interaction liquid chromatography coupled to tandem mass spectrometry
Schettgen T, et al.
Analytical and Bioanalytical Chemistry, 387(8), 2783-2791 (2007)
Guntur Fibriansah et al.
Nature communications, 6, 6341-6341 (2015-02-24)
Dengue virus (DENV) infects ~400 million people annually. There is no licensed vaccine or therapeutic drug. Only a small fraction of the total DENV-specific antibodies in a naturally occurring dengue infection consists of highly neutralizing antibodies. Here we show that
Global Trade Item Number
| SKU | GTIN |
|---|---|
| 44208-5ML-F | 04061837849800 |
