Select a Size
About This Item
biological source
Streptomyces verticillus
Quality Level
form
powder or crystals
quality
lyophilized
color
white to off-white
solubility
H2O: 20 mg/mL, clear, colorless
cation traces
Cu: ≤0.1%
suitability
suitable for fluorescence
antibiotic activity spectrum
Gram-negative bacteria, Gram-positive bacteria, neoplastics
mode of action
DNA synthesis | interferes
storage temp.
2-8°C
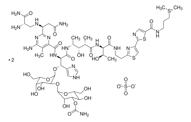
SMILES string
[O-]S([O-])(=O)=O.C[C@@H](O)[C@@H](NC(=O)[C@@H](C)[C@H](O)[C@@H](C)NC(=O)[C@H](NC(=O)c1nc(nc(N)c1C)[C@H](CC(N)=O)NC[C@H](N)C(N)=O)[C@@H](O[C@@H]2O[C@@H](CO)[C@@H](O)[C@H](O)[C@@H]2O[C@@H]3O[C@H](CO)[C@@H](O)[C@@H](OC(N)=O)[C@@H]3O)c4c[nH]cn4)C(=O)NCCc5nc(cs5)-c6ncc(s6)C(=O)NCCC[S+](C)C.C[C@@H](O)[C@@H](NC(=O)[C@@H](C)[C@H](O)[C@@H](C)NC(=O)[C@H](NC(=O)c7nc(nc(N)c7C)[C@H](CC(N)=O)NC[C@H](N)C(N)=O)[C@@H](O[C@@H]8O[C@@H](CO)[C@@H](O)[C@H](O)[C@@H]8O[C@@H]9O[C@H](CO)[C@@H](O)[C@@H](OC(N)=O)[C@@H]9O)c%10c[nH]cn%10)C(=O)NCCc%11nc(cs%11)-c%12ncc(s%12)C(=O)NCCC[S+](C)C
InChI
1S/2C55H83N17O21S3.H2O4S/c2*1-20-33(69-46(72-44(20)58)25(12-31(57)76)64-13-24(56)45(59)82)50(86)71-35(41(26-14-61-19-66-26)91-54-43(39(80)37(78)28(16-73)90-54)92-53-40(81)42(93-55(60)88)38(79)29(17-74)89-53)51(87)67-22(3)36(77)21(2)47(83)70-34(23(4)75)49(85)63-10-8-32-68-27(18-94-32)52-65-15-30(95-52)48(84)62-9-7-11-96(5)6;1-5(2,3)4/h2*14-15,18-19,21-25,28-29,34-43,53-54,64,73-75,77-81H,7-13,16-17,56H2,1-6H3,(H13-,57,58,59,60,61,62,63,66,67,69,70,71,72,76,82,83,84,85,86,87,88);(H2,1,2,3,4)/t2*21-,22+,23+,24-,25-,28-,29+,34+,35+,36-,37+,38+,39-,40-,41-,42+,43-,53-,54-;/m00./s1
InChI key
OOXTWFJZZAJGKA-CNLAFNBISA-N
General description
Application
Biochem/physiol Actions
Packaging
Preparation Note
Other Notes
Disclaimer
Still not finding the right product?
Explore all of our products under Bleomycin sulfate from Streptomyces verticillus
signalword
Danger
hcodes
Hazard Classifications
Carc. 2 - Muta. 1B - Repr. 2
Storage Class
6.1C - Combustible acute toxic Cat.3 / toxic compounds or compounds which causing chronic effects
wgk
WGK 3
flash_point_f
Not applicable
flash_point_c
Not applicable
ppe
Eyeshields, Gloves, type P3 (EN 143) respirator cartridges
Regulatory Information
This item has
Choose from one of the most recent versions:
Already Own This Product?
Find documentation for the products that you have recently purchased in the Document Library.
Global Trade Item Number
| SKU | GTIN |
|---|---|
| 15361-1MG | 04061838740991 |
| 15361-10MG | 04061838740984 |
