Skip to Content
Merck
CN

22048

κ-Carrageenan

sulfated plant polysaccharide

Synonym(s):

Vegetable gelatin

Sign In to View Organizational & Contract Pricing.

Select a Size

Change View

About This Item

CAS Number:
UNSPSC Code:
12352201
NACRES:
NA.25
EC Number:
234-350-2
MDL number:
Technical Service
Need help? Our team of experienced scientists is here for you.
Let Us Assist


biological source

plant

Quality Level

form

powder

color

white to off-white

viscosity

5-25 mPa.s, 0.3 % in H2O(25 °C)

solubility

H2O: soluble 5 mg/mL (hot)

SMILES string

[S](=O)(=O)([O-])O[C@H]1[C@H](O[C@H]([C@@H]([C@H]1O[C@H]4O[C@H]5[C@@H]([C@H](OC5)[C@H]4O)O[C@@H]6O[C@@H]([C@@H]([C@@H]([C@H]6O)O)O[S](=O)(=O)[O-])CO)O)O[C@@H]2[C@@H]3OC[C@H]2O[C@@H]([C@@H]3O)O)CO

InChI

1S/C24H38O25S2/c25-1-5-14(48-50(33,34)35)9(27)10(28)22(42-5)45-16-8-4-40-19(16)12(30)23(44-8)47-20-13(31)24(43-6(2-26)17(20)49-51(36,37)38)46-15-7-3-39-18(15)11(29)21(32)41-7/h5-32H,1-4H2,(H,33,34,35)(H,36,37,38)/p-2/t5-,6-,7-,8-,9-,10-,11-,12-,13-,14+,15+,16+,17+,18-,19-,20-,21+,22+,23-,24+/m1/s1

InChI key

ZNOZWUKQPJXOIG-XSBHQQIPSA-L

General description

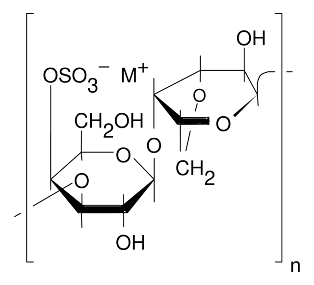
Carrageenans are mucopolysaccharides from the cell walls of the red algae. They are anionic linear polymers composed of 1,3α-1,4β-galactans having one (κ-), two (ι-) or three (λ-) sulfates per disaccharide unit. In ionic solutions, κ- and ι-carrageenans self-associate into helical structures that form rigid or flexible gels, respectively. λ-carrageenans do not form helices and are non-gelling. Carrageenans are used commercially as thickeners and stabilizing agents.
insoluble in hot concentrated salt solutions

Application

May be used in immobilization of microbial cells based on the growth of cell in gel
Carrageenans are used to suppress immune response in vivo and in vitro via mechanisms believed to involve selective cytopathic effect on macrophages. As ι-, κ-, and λ-carrageenans have varying degress of sulfation, they may be studied comparatively for differences in protective, antiviral, and immunosuppression activities.

Other Notes

To gain a comprehensive understanding of our extensive range of Polysaccharides for your research, we encourage you to visit our Carbohydrates Category page.


Storage Class

11 - Combustible Solids

wgk

WGK 2

flash_point_f

Not applicable

flash_point_c

Not applicable

Regulatory Information

植物油/植物胶产品

This item has



Choose from one of the most recent versions:

Certificates of Analysis (COA)

Lot/Batch Number

Don't see the Right Version?

If you require a particular version, you can look up a specific certificate by the Lot or Batch number.

Already Own This Product?

Find documentation for the products that you have recently purchased in the Document Library.

Visit the Document Library



A L Ellis et al.
Journal of colloid and interface science, 538, 165-173 (2018-12-05)
Polysaccharides such as kappa carrageenan are often utilised in fat replacement techniques in the food industry. However, the structural role they can provide within a product is limited by their hydrophilic nature. Hydrophilic particles can be surface-activated by hydrophobic modification
Manuel López-López et al.
Pharmaceutics, 11(2) (2019-02-02)
In this work, poly(lactic-co-glycolic acid) (PLGA) and chitosan (CS) nanoparticles were synthesized with the purpose of encapsulating levofloxacin (LEV). A thorough study has been carried out in order to optimize the preparation of LEV-loaded polymeric nanoparticles (NPs) suitable for parenteral
M. Wada et al.
Europ. J. Appl. Microbiol. Biotechnol., 8, 241-241 (1979)



Global Trade Item Number

SKUGTIN
22048-100G-F04061838776433
22048-25G-F04061838776440