Skip to Content
Merck
CN

78544

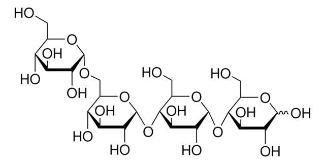
Glucose tetrasaccharide

≥99.0% (TLC)

Synonym(s):

Glcα1-6Glcα1-4Glcα1-4Glc

Sign In to View Organizational & Contract Pricing.

Select a Size

Change View

About This Item

Empirical Formula (Hill Notation):
C24H42O21
CAS Number:
Molecular Weight:
666.58
NACRES:
NA.28
PubChem Substance ID:
UNSPSC Code:
12352201
MDL number:
Technical Service
Need help? Our team of experienced scientists is here for you.
Let Us Assist


Quality Level

assay

≥99.0% (TLC)

form

powder

color

white

suitability

corresponds for LC-MS

storage temp.

room temp

SMILES string

OC[C@H]1O[C@H](OC[C@H]2O[C@H](O[C@H]3[C@H](O)[C@@H](O)[C@H](O[C@@H]3CO)O[C@H]4[C@H](O)[C@@H](O)C(O)O[C@@H]4CO)[C@H](O)[C@@H](O)[C@@H]2O)[C@H](O)[C@@H](O)[C@@H]1O

InChI

1S/C24H42O21/c25-1-5-9(28)11(30)16(35)22(41-5)39-4-8-10(29)12(31)17(36)23(43-8)45-20-7(3-27)42-24(18(37)14(20)33)44-19-6(2-26)40-21(38)15(34)13(19)32/h5-38H,1-4H2/t5-,6-,7-,8-,9-,10-,11+,12+,13-,14-,15-,16-,17-,18-,19-,20-,21?,22+,23-,24-/m1/s1

InChI key

FPBCRLIOSBQLHS-QVTSYAGHSA-N

Application

Glucose tetrasaccharide (Glc4) is used as a reference in analysis of urinary glucose tetrasacchaide, a biomarker for Pompe disease and other glycogen storage diseases.

Packaging

Bottomless glass bottle. Contents are inside inserted fused cone.

Other Notes

To gain a comprehensive understanding of our extensive range of Monosaccharides for your research, we encourage you to visit our Carbohydrates Category page.


Storage Class

11 - Combustible Solids

wgk

WGK 3

flash_point_f

Not applicable

flash_point_c

Not applicable

ppe

Eyeshields, Gloves, type N95 (US)

Regulatory Information

涉药品监管产品

This item has



Choose from one of the most recent versions:

Certificates of Analysis (COA)

Lot/Batch Number

Don't see the Right Version?

If you require a particular version, you can look up a specific certificate by the Lot or Batch number.

Already Own This Product?

Find documentation for the products that you have recently purchased in the Document Library.

Visit the Document Library



Yoav H Messinger et al.
Genetics in medicine : official journal of the American College of Medical Genetics, 14(1), 135-142 (2012-01-13)
Infantile Pompe disease resulting from a deficiency of lysosomal acid α-glucosidase (GAA) requires enzyme replacement therapy (ERT) with recombinant human GAA (rhGAA). Cross-reactive immunologic material negative (CRIM-negative) Pompe patients develop high-titer antibody to the rhGAA and do poorly. We describe
Victoria Manwaring et al.
Journal of inherited metabolic disease, 35(2), 311-316 (2011-06-21)
A high performance liquid chromatography method, adapted from an established urinary sugars method, has been developed for the analysis of a tetraglucose oligomer (Glc(4)) in urine. Pompe disease results from defects in the activity of lysosomal acid α-glucosidase (GAA) with
Zoheb B Kazi et al.
Genetics in medicine : official journal of the American College of Medical Genetics, 21(4), 887-895 (2018-09-15)
To investigate immune tolerance induction with transient low-dose methotrexate (TLD-MTX) initiated with recombinant human acid α-glucosidase (rhGAA), in treatment-naïve cross-reactive immunologic material (CRIM)-positive infantile-onset Pompe disease (IOPD) patients. Newly diagnosed IOPD patients received subcutaneous or oral 0.4 mg/kg TLD-MTX for 3



Global Trade Item Number

SKUGTIN
78544-1MG04061826054536