Skip to Content
Merck
CN

92860

Glyceryl trioleate

≥97.0% (TLC)

Synonym(s):

TG(18:1(9Z)/18:1(9Z)/18:1(9Z)), (9Z)9-Octadecenoic acid 1,2,3-propanetriyl ester, 1,2,3-Tri(cis-9-octadecenoyl)glycerol, Glycerol trioleate, Glycerol triolein, Oleic acid triglyceride, Oleic triglyceride, TG(18:1(9Z)/18:1(9Z)/18:1(9Z)), Triolein

Sign In to View Organizational & Contract Pricing.

Select a Size

Change View

About This Item

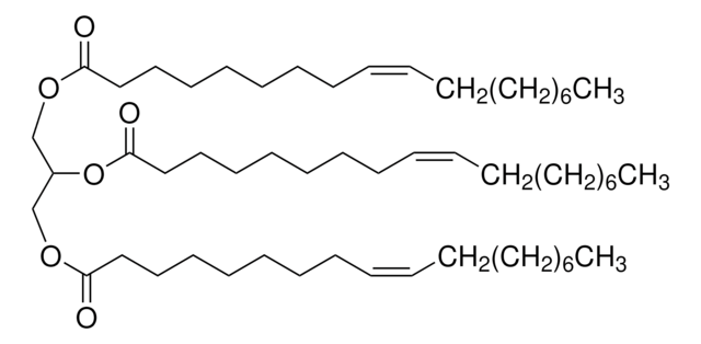
Linear Formula:
(C17H33COOCH2)2CHOCOC17H33
CAS Number:
Molecular Weight:
885.43
UNSPSC Code:
41141833
NACRES:
NA.25
PubChem Substance ID:
EC Number:
204-534-7
Beilstein/REAXYS Number:
1718692
MDL number:
Technical Service
Need help? Our team of experienced scientists is here for you.
Let Us Assist


Quality Level

biological source

plant, synthetic

assay

≥97.0% (TLC)

form

liquid

composition

18:1, ~98%

bp

235-240 °C/18 mmHg (lit.)

solubility

chloroform: 0.1 g/mL, clear, colorless

density

0.91 g/mL (lit.)

functional group

ester

lipid type

neutral glycerides

storage temp.

2-8°C

SMILES string

[H]C(COC(CCCCCCC/C=C\CCCCCCCC)=O)(OC(CCCCCCC/C=C\CCCCCCCC)=O)COC(CCCCCCC/C=C\CCCCCCCC)=O

InChI

1S/C57H104O6/c1-4-7-10-13-16-19-22-25-28-31-34-37-40-43-46-49-55(58)61-52-54(63-57(60)51-48-45-42-39-36-33-30-27-24-21-18-15-12-9-6-3)53-62-56(59)50-47-44-41-38-35-32-29-26-23-20-17-14-11-8-5-2/h25-30,54H,4-24,31-53H2,1-3H3/b28-25-,29-26-,30-27-

InChI key

PHYFQTYBJUILEZ-IUPFWZBJSA-N

Application


  • Development of lipid-based SEDDS using digestion products of long-chain triglyceride for high drug solubility: Formulation and dispersion testing.: This study discusses the formulation of self-emulsifying drug delivery systems (SEDDS) using products from the digestion of glyceryl trioleate, aiming to enhance drug solubility and bioavailability (Desai et al., 2024).

  • Encapsulation and retention of chelated-copper inside hydrophobic nanoparticles: Liquid cored nanoparticles show better retention than a solid core formulation.: Research on encapsulating copper complexes in nanoparticles with glyceryl trioleate components to improve delivery and retention, comparing solid and liquid cores (Hervella et al., 2016).



Still not finding the right product?

Explore all of our products under Glyceryl trioleate


Storage Class

10 - Combustible liquids

wgk

awg

flash_point_f

626.0 °F - closed cup

flash_point_c

330.0 °C - closed cup

ppe

Eyeshields, Gloves



Choose from one of the most recent versions:

Certificates of Analysis (COA)

Lot/Batch Number

Don't see the Right Version?

If you require a particular version, you can look up a specific certificate by the Lot or Batch number.

Already Own This Product?

Find documentation for the products that you have recently purchased in the Document Library.

Visit the Document Library



Hanny Wassef et al.
Arteriosclerosis, thrombosis, and vascular biology, 32(11), 2785-2793 (2012-09-22)
White adipose tissue (WAT) dysfunction is characterized by delayed clearance of dietary triglyceride-rich lipoproteins (TRL). We reported that apolipoprotein (apo) C-I, a transferable apolipoprotein that inhibits lipoprotein lipase activity when bound to TRL, was produced by a human adipocyte model.
Mi-Hwa Lee et al.
Applied and environmental microbiology, 78(14), 4959-4966 (2012-05-01)
A novel lipolytic enzyme was isolated from a metagenomic library obtained from tidal flat sediments on the Korean west coast. Its putative functional domain, designated MPlaG, showed the highest similarity to phospholipase A from Grimontia hollisae CIP 101886, though it
Colin J MacDougall et al.
Faraday discussions, 158, 425-433 (2012-12-14)
Fats are elastoplastic materials with a defined yield stress and flow behavior and the plasticity of a fat is central to its functionality. This plasticity is given by a complex tribological interplay between a crystalline phase structured as crystalline nanoplatelets



Global Trade Item Number

SKUGTIN
92860-10ML04061833270493
92860-5ML04061833270509