Select a Size
About This Item
Product Name
Amphotericin B solution, 250 μg/mL in deionized water, 0.1 μm filtered, BioReagent, suitable for cell culture
Quality Level
sterility
0.1 μm filtered
product line
BioReagent
form
liquid
concentration
250 μg/mL in deionized water
technique(s)
cell culture | mammalian: suitable
color
yellow
antibiotic activity spectrum
fungi, yeast
mode of action
cell membrane | interferes
shipped in
dry ice
storage temp.
−20°C
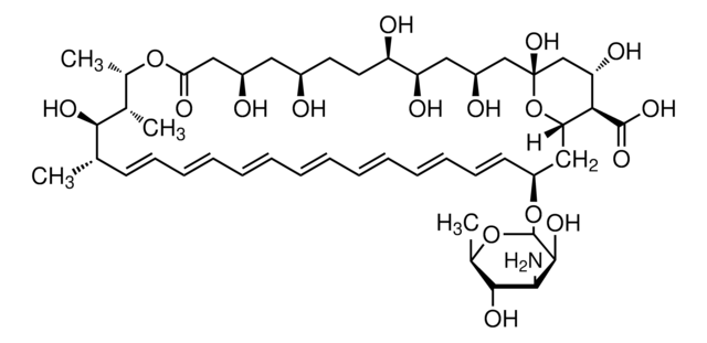
SMILES string
[H][C@]12C[C@@H](O[C@@H]3O[C@H](C)[C@@H](O)[C@H](N)[C@@H]3O)\C=C\C=C\C=C\C=C\C=C\C=C\C=C\[C@H](C)[C@@H](O)[C@@H](C)[C@H](C)OC(=O)C[C@H](O)C[C@H](O)CC[C@@H](O)[C@H](O)C[C@H](O)C[C@](O)(C[C@H](O)[C@H]1C(=O)O[Na])O2
InChI
1S/C47H73NO17/c1-27-17-15-13-11-9-7-5-6-8-10-12-14-16-18-34(64-46-44(58)41(48)43(57)30(4)63-46)24-38-40(45(59)60)37(54)26-47(61,65-38)25-33(51)22-36(53)35(52)20-19-31(49)21-32(50)23-39(55)62-29(3)28(2)42(27)56/h5-18,27-38,40-44,46,49-54,56-58,61H,19-26,48H2,1-4H3,(H,59,60)/b6-5+,9-7+,10-8+,13-11+,14-12+,17-15+,18-16+/t27-,28-,29-,30+,31+,32+,33-,34-,35+,36+,37-,38-,40+,41-,42+,43+,44-,46-,47+/m0/s1
InChI key
APKFDSVGJQXUKY-INPOYWNPSA-N
General description
Application
- as an intraperitoneal injection for the treatment of Aspergillus fumigatus infection in mice
- as a constituent of aspiration medium for the culture of Chinese Merino ewe ovaries
- as a constituent of transport medium during the collection of equine corpora lutea
- as a supplement in RPMI medium for the culture of the mouse-mouse B cell hybridoma 55-6 cell line
Biochem/physiol Actions
Packaging
Preparation Note
Other Notes
Disclaimer
Still not finding the right product?
Explore all of our products under Amphotericin B solution
Storage Class
12 - Non Combustible Liquids
flash_point_f
Not applicable
flash_point_c
Not applicable
ppe
Eyeshields, Gloves, multi-purpose combination respirator cartridge (US)
Regulatory Information
This item has
Choose from one of the most recent versions:
Already Own This Product?
Find documentation for the products that you have recently purchased in the Document Library.
Articles
抗生素杀灭曲线是一项剂量响应实验,通过逐渐增大施加在哺乳动物细胞中的备选抗生素剂量进行测定。
Human renal proximal tubule epithelial cells (RPTECs) are commonly used to predict human renal drug permeability and to investigate drug efflux. We have generated transporter knockout (KO) cell lines using CompoZr® Zinc Finger Nuclease (ZFN) technology in a proprietary renal proximal tubule epithelial cell line.
Antibiotic kill curve is a dose response experiment in which mammalian cells are subjected to increasing amounts of selection antibiotic
Related Content
Learn how to use our cell culture tested, ready-to-use MilliShot™ single dose antibiotic solutions, conveniently packaged in one-time use vials.
Products and support for mpox research, offering world-class reagents for immunoassay and molecular assay development.
Global Trade Item Number
| SKU | GTIN |
|---|---|
| A2942-20ML | 04061838446985 |
| A2942-50ML | 04061838446992 |
| A2942-100ML | 04061838446978 |
| A2942-1L | 04061837031854 |