Skip to Content
Merck
CN

C7170

Chitin from shrimp shells

practical grade, powder

Synonym(s):

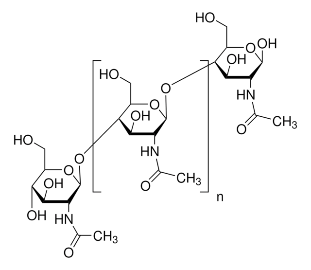
Poly-(1→4)-β-N-acetyl-D-glucosamine

Sign In to View Organizational & Contract Pricing.

Select a Size

Change View

About This Item

CAS Number:
NACRES:
NA.25
PubChem Substance ID:
UNSPSC Code:
12352201
EC Number:
215-744-3
MDL number:
Technical Service
Need help? Our team of experienced scientists is here for you.
Let Us Assist


biological source

shrimp (Pandalus borealis)

Quality Level

grade

practical grade

form

powder

color

white to beige

storage temp.

room temp

SMILES string

CC(=O)N[C@@H]1[C@H](O)O[C@@H](CO)[C@H](O)[C@H]1O

InChI

1S/C8H15NO6/c1-3(11)9-5-7(13)6(12)4(2-10)15-8(5)14/h4-8,10,12-14H,2H2,1H3,(H,9,11)/t4?,5?,6?,7?,8-/m1/s1

InChI key

OVRNDRQMDRJTHS-WTZNIHQSSA-N

Application

Chitin from shrimp shells is suitable for analysis of chitinase. It is a polysaccharide composed of N-acetyl-D-glucomasine that can also be used for the manufacture of glucosamine and chitosan.
Chitin from shrimp shells, a long-chain polymer of a β-1,4 linked N-acetylglucosamine residues, may be used to study its physicochemical properties and role in the formation of arthropod exoskeletons. It may be used to identify and characterize chitinase(s) and chitin deacetylase(s) and as a control to study the structure of chitins from other species. It may be used in chitin asthma and allergy research. Chitin may be used as a viscosity/thickening agent or binder.

Analysis Note

Requires purification prior to use as a substrate for chitinase.

Other Notes

To gain a comprehensive understanding of our extensive range of Polysaccharides for your research, we encourage you to visit our Carbohydrates Category page.


Still not finding the right product?

Explore all of our products under Chitin from shrimp shells


Storage Class

11 - Combustible Solids

wgk

WGK 3

flash_point_f

Not applicable

flash_point_c

Not applicable

ppe

Eyeshields, Gloves, type N95 (US)



Choose from one of the most recent versions:

Certificates of Analysis (COA)

Lot/Batch Number

Don't see the Right Version?

If you require a particular version, you can look up a specific certificate by the Lot or Batch number.

Already Own This Product?

Find documentation for the products that you have recently purchased in the Document Library.

Visit the Document Library



Judy Gopal et al.
Scientific reports, 9(1), 13832-13832 (2019-09-27)
Chitin and chitosan are biopolymers that have diverse applications in medicine, agriculture, food, cosmetics, pharmaceuticals, wastewater treatment and textiles. With bio-origins, they easily blend with biological systems and show exemplified compatibility which is mandatory when it comes to biomedical research.
Xinxin He et al.
Marine drugs, 18(3) (2020-03-04)
Chitinase, as one of the most important extracellular enzymes in the marine environment, has great ecological and applied values. In this study, two chitinases (Chi1557 and Chi4668) with 97.33% amino acid sequences identity were individually found in Vibrio rotiferianus and
Kati Seitz et al.
International journal of molecular sciences, 21(15) (2020-08-01)
Mitogen-activated protein kinases (MAPKs) are key regulators of numerous biological processes in plants. To better understand the mechanisms by which these kinases function, high resolution measurement of MAPK activation kinetics in different biological contexts would be beneficial. One method to



Global Trade Item Number

SKUGTIN
C7170-1KG04061835366507
C7170-100G04061835366491