Skip to Content
Merck
CN

C9819

Chondroitin sulfate A sodium salt from bovine trachea

lyophilized powder, BioReagent, suitable for cell culture

Synonym(s):

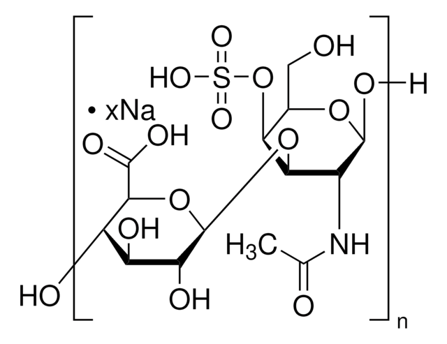
Alternating Copoly β-glucuronic acid-(1→3)-N-acetyl-β-galactosamine-4-sulfate-(1→4)

Sign In to View Organizational & Contract Pricing.

Select a Size

Change View

About This Item

CAS Number:
UNSPSC Code:
12352202
NACRES:
NA.75
MDL number:
Biological source:
bovine trachea
Form:
lyophilized powder
Technique(s):
cell culture | mammalian: suitable
Technical Service
Need help? Our team of experienced scientists is here for you.
Let Us Assist


biological source

bovine trachea

Quality Level

product line

BioReagent

form

lyophilized powder

packaging

poly bottle of 25 g, poly bottle of 5 g

technique(s)

cell culture | mammalian: suitable

surface coverage

20‑2000 μg/cm2

shipped in

ambient

storage temp.

2-8°C

Application

Chondroitin appears to play a regulatory role for chondrocytes, neural cells, and some tumor cells. Chondroitin sulfate B is used to study β peptide (1-42) cytotoxicity.

Biochem/physiol Actions

As a large, negatively charged, hydrophilic molecule that is too inflexible to fold into a compact globular structure, chondroitin sulfate molecules form porous hydrated gels, providing mechanical support to tissue and allowing rapid diffusion of water-soluble molecules and migration of cells.

Preparation Note

This product is soluble in water at 100 mg/mL.

Other Notes

Chondroitin Sulfate A is an acidic mucopolysaccharide found in cartilage, skin, cornea, and umbilical cord. It is composed of alternating N-acetylgalactosamine, D-glucuronic acid, and sulfate residues in equimolar quantities where carbon 4 of the N-acetylgalactosamines is sulfated.

Disclaimer

Store this product at 2-8°C.


Storage Class

11 - Combustible Solids

wgk

WGK 3

flash_point_f

Not applicable

flash_point_c

Not applicable

ppe

Eyeshields, Gloves, type N95 (US)



Choose from one of the most recent versions:

Certificates of Analysis (COA)

Lot/Batch Number

Don't see the Right Version?

If you require a particular version, you can look up a specific certificate by the Lot or Batch number.

Already Own This Product?

Find documentation for the products that you have recently purchased in the Document Library.

Visit the Document Library


Articles

培养和表征CSC群体的癌症干细胞培养基、球状体培养板和癌症干细胞标志物。

有五种已发现的糖胺聚糖链(参见图1)透明质酸不是硫酸化的,但其他糖胺聚糖链在链的不同位置含有硫酸根取代基。

Glycosaminoglycans are large linear polysaccharides constructed of repeating disaccharide units.

View All Articles

N Sharma et al.
Osteoarthritis and cartilage, 28(5), 658-668 (2019-11-18)
Links between pain and joint degradation are poorly understood. We investigated the role of activation of Toll-like receptors (TLR) by cartilage metabolites in initiating and maintaining the inflammatory loop in OA causing joint destruction. Synovial membrane explants (SMEs) were prepared
Tomomi Izumikawa et al.
Biochimica et biophysica acta, 1830(10), 4806-4812 (2013-07-03)
Previously, we identified two missense mutations in the chondroitin N-acetylgalactosaminyltransferase-1 gene in patients with neuropathy. These mutations are associated with a profound decrease in chondroitin N-acetylgalactosaminyltransferase-1 enzyme activity. Here, we describe a patient with neuropathy who is heterozygous for a
Gunnar Dick et al.
The Journal of biological chemistry, 288(38), 27384-27395 (2013-08-14)
Chondroitin sulfate (CS) and the CS-rich extracellular matrix structures called perineuronal nets (PNNs) restrict plasticity and regeneration in the CNS. Plasticity is enhanced by chondroitinase ABC treatment that removes CS from its core protein in the chondroitin sulfate proteoglycans or



Global Trade Item Number

SKUGTIN
C9819-25G04061833531228
C9819-5G04061835507221