Skip to Content
Merck
CN

D0301

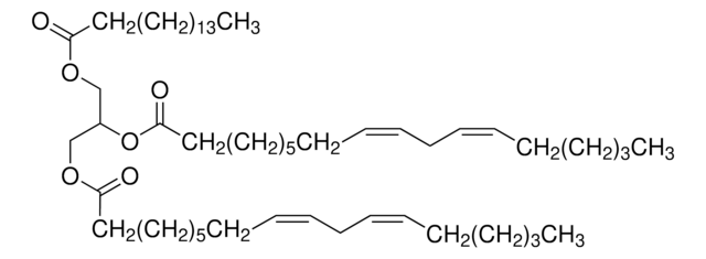
1,2-Dilinoleoyl-3-palmitoyl-rac-glycerol

≥95% (TLC), liquid

Synonym(s):

1,2-Di(cis-9,12-octadecadienoyl)-3-hexadecanoyl-rac-glycerol, PLL

Sign In to View Organizational & Contract Pricing.

Select a Size

Change View

About This Item

Empirical Formula (Hill Notation):
C55H98O6
CAS Number:
Molecular Weight:
855.36
NACRES:
NA.25
PubChem Substance ID:
UNSPSC Code:
12352211
MDL number:
Technical Service
Need help? Our team of experienced scientists is here for you.
Let Us Assist


biological source

synthetic (organic)

Quality Level

assay

≥95% (TLC)

form

liquid

functional group

ester

lipid type

neutral glycerides

shipped in

ambient

storage temp.

−20°C

SMILES string

O=C(CCCCCCC/C=C\C/C=C\CCCCC)OC(COC(CCCCCCCCCCCCCCC)=O)COC(CCCCCCC/C=C\C/C=C\CCCCC)=O

InChI

1S/C55H98O6/c1-4-7-10-13-16-19-22-25-27-30-33-36-39-42-45-48-54(57)60-51-52(50-59-53(56)47-44-41-38-35-32-29-24-21-18-15-12-9-6-3)61-55(58)49-46-43-40-37-34-31-28-26-23-20-17-14-11-8-5-2/h16-17,19-20,25-28,52H,4-15,18,21-24,29-51H2,1-3H3/b19-16-,20-17-,27-25-,28-26-

InChI key

LXAWUIOWWNQCQA-YBQWMRSQSA-N

Physical form

Liquid at room temperature


Storage Class

10 - Combustible liquids

wgk

WGK 3

flash_point_f

Not applicable

flash_point_c

Not applicable

ppe

Eyeshields, Gloves



Choose from one of the most recent versions:

Certificates of Analysis (COA)

Lot/Batch Number

Don't see the Right Version?

If you require a particular version, you can look up a specific certificate by the Lot or Batch number.

Already Own This Product?

Find documentation for the products that you have recently purchased in the Document Library.

Visit the Document Library



Hirotaka Nakatsuji et al.
Scientific reports, 7(1), 4694-4694 (2017-07-07)
Light-inducible gene regulation has great potential for remote and noninvasive control of the fate and function of target cells. One method to achieve such control is delivery of heat shock protein (HSP) promoter-driven protein expression vectors and photothermal heaters into
Andrea J Mothe et al.
Scientific reports, 7(1), 10529-10529 (2017-09-07)
Traumatic spinal cord injury (SCI) causes a cascade of degenerative events including cell death, axonal damage, and the upregulation of inhibitory molecules which prevent regeneration and limit recovery. Repulsive guidance molecule A (RGMa) is a potent neurite growth inhibitor in
Sunita D Bansod et al.
IET nanobiotechnology, 13(6), 609-616 (2019-08-23)
Here, a rapid and easy transformation by electroporation technique for gene transfer in plants using cell penetrating amino nanocomplex (nanoplex) has been demonstrated in Nicotiana. Nanoplex was prepared using cell penetrating amino acids (CPAs) such as poly-L-lysine (PLL) and Argenine



Global Trade Item Number

SKUGTIN
D0301-10MG04061833557600
D0301-100MG04061832947068
D0301-25MG04061833557624