Skip to Content
Merck
CN

D6513

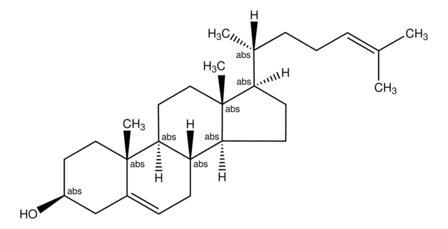
Desmosterol

≥84% (GC), cholesterol synthesis intermediate, powder

Synonym(s):

24-Dehydrocholesterol, 3β-Hydroxy-5,24-cholestadiene, 5,24-Cholestadien-3β-ol

Sign In to View Organizational & Contract Pricing.

Select a Size

Change View

About This Item

Empirical Formula (Hill Notation):
C27H44O
CAS Number:
Molecular Weight:
384.64
NACRES:
NA.77
PubChem Substance ID:
UNSPSC Code:
12352200
EC Number:
206-236-2
MDL number:
Assay:
≥84% (GC)
Form:
powder
Quality level:
Technical Service
Need help? Our team of experienced scientists is here for you.
Let Us Assist


Product Name

Desmosterol, ≥84% (GC)

Quality Level

assay

≥84% (GC)

form

powder

storage temp.

−20°C

SMILES string

[H][C@@]12[C@]([C@](CC[C@H](O)C3)(C)C3=CC2)([H])CC[C@@]4(C)[C@@]1([H])CC[C@]4([H])[C@]([H])(C)CCC=C(C)C

InChI

1S/C27H44O/c1-18(2)7-6-8-19(3)23-11-12-24-22-10-9-20-17-21(28)13-15-26(20,4)25(22)14-16-27(23,24)5/h7,9,19,21-25,28H,6,8,10-17H2,1-5H3/t19-,21+,22+,23-,24+,25+,26+,27-/m1/s1

InChI key

AVSXSVCZWQODGV-DPAQBDIFSA-N

General description

Desmosterol is a C27 sterol intermediate in cholesterol synthesis. It may be associated with the pathogenesis of Alzheimer′s disease (AD).

Application

Desmosterol has been used as a standard for the estimation of the concentrations of cholesterol and plant sterols. It has also been used to suppress nigericin-induced sterol regulatory element-binding proteins 2 (SREBP2) maturation.


Still not finding the right product?

Explore all of our products under Desmosterol


Storage Class

11 - Combustible Solids

wgk

WGK 3

flash_point_f

Not applicable

flash_point_c

Not applicable

ppe

Eyeshields, Gloves, type N95 (US)



Choose from one of the most recent versions:

Certificates of Analysis (COA)

Lot/Batch Number

Don't see the Right Version?

If you require a particular version, you can look up a specific certificate by the Lot or Batch number.

Already Own This Product?

Find documentation for the products that you have recently purchased in the Document Library.

Visit the Document Library


Articles

胆固醇的生物合成通常发生在肝细胞的内质网中,并以乙酰辅酶A开始,乙酰辅酶A主要来源于线粒体中的氧化反应。乙酰辅酶A和乙酰乙酰辅酶A由HMG-辅酶A合成酶转化为3-羟基-3-甲基戊二酰辅酶A(HMG-辅酶A)。

Cholesterol biosynthesis starts in the hepatic endoplasmic reticulum with acetyl-CoA, yielding 3-hydroxy-3-methylglutaryl-CoA via HMG-CoA synthase.


Tim Vanmierlo et al.
Plant foods for human nutrition (Dordrecht, Netherlands), 66(2), 149-156 (2011-03-25)
Plant sterols such as sitosterol and campesterol are frequently applied as functional food in the prevention of atherosclerosis. Recently, it became clear that plasma derived plant sterols accumulate in murine brains. We questioned whether plant sterols in the brain are
Thomas Wisniewski et al.
Journal of Alzheimer's disease : JAD, 33(3), 881-888 (2012-10-09)
Desmosterol is a C27 sterol intermediate in cholesterol synthesis generated during the metabolic pathway that transforms lanosterol into cholesterol. It has become of particular interest in the pathogenesis of Alzheimer's disease (AD) because of the report that the activity of
Anna Meljon et al.
Journal of lipid research, 53(11), 2469-2483 (2012-08-15)
Unesterified cholesterol is a major component of plasma membranes. In the brain of the adult, it is mostly found in myelin sheaths, where it plays a major architectural role. In the newborn mouse, little myelination of neurons has occurred, and



Global Trade Item Number

SKUGTIN
D6513-10MG04061833587737
D6513-5MG04061833587744