Skip to Content
Merck
CN

D8013

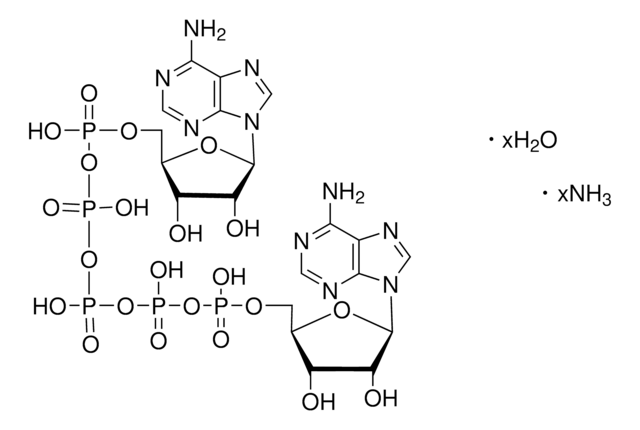
P1,P5-Di(adenosine-5′) pentaphosphate ammonium salt

≥95% (HPLC), powder

Synonym(s):

A(5′)P5(5′)A, Diadenosine pentaphosphate ammonium salt

Sign In to View Organizational & Contract Pricing.

Select a Size

Change View

About This Item

Empirical Formula (Hill Notation):
C20H29N10O22P5 · xNH3 · yH2O
CAS Number:
Molecular Weight:
916.37 (anhydrous free acid basis)
eCl@ss:
32160414
MDL number:
PubChem Substance ID:
NACRES:
NA.77
UNSPSC Code:
12352208
Technical Service
Need help? Our team of experienced scientists is here for you.
Let Us Assist


biological source

synthetic (organic)

Quality Level

assay

≥95% (HPLC)

form

powder

color

white to off-white

solubility

H2O: 50 mg/mL

storage temp.

−20°C

SMILES string

O[C@@H]1[C@@H](COP(OP(O)(OP(O)(OP(O)(OP(O)(OC[C@@H]2[C@@H](O)[C@@H](O)[C@H](N(C=N3)C4=C3C(N)=NC=N4)O2)=O)=O)=O)=O)(O)=O)O[C@@H](N(C=N5)C6=C5C(N)=NC=N6)[C@@H]1O

InChI

1S/C10H14N5O8P3/c11-9-8-10(13-4-12-9)15(5-14-8)7-2-1-6(21-7)3-20-25(16,17)23-26(18,19)22-24/h1-2,4-7H,3,24H2,(H,16,17)(H,18,19)(H2,11,12,13)/t6-,7+/m0/s1

InChI key

LWOSDYWLTWLFID-NKWVEPMBSA-N

Biochem/physiol Actions

A diadenosine polyphosphate stored in secretory granules of thrombocytes, chromaffin and neuronal cells.
A diadenosine polyphosphate stored in secretory granules of thrombocytes, chromaffin and neuronal cells. After release into the extracellular space, it affects a variety of biological activities in a wide range of target tissues. In the nervous system it acts through various purinergic receptors. It also activates 5′-nucleotidase and inhibits adenosine kinase activity in vitro. Ap5A is metabolized by soluble enzymes in the blood plasma and by membrane-bound ectoenzymes of a number of cell types including endothelial and smooth muscle cells. In heart, it increases contractile force and action potential duration, and shows an anti-β-adrenergic effect.


Storage Class

11 - Combustible Solids

wgk

WGK 3

flash_point_f

Not applicable

flash_point_c

Not applicable

ppe

Eyeshields, Gloves, type N95 (US)



Choose from one of the most recent versions:

Certificates of Analysis (COA)

Lot/Batch Number

Don't see the Right Version?

If you require a particular version, you can look up a specific certificate by the Lot or Batch number.

Already Own This Product?

Find documentation for the products that you have recently purchased in the Document Library.

Visit the Document Library



G J Brewer et al.
Journal of neurochemistry, 74(5), 1968-1978 (2000-05-09)
The loss of ATP, which is needed for ionic homeostasis, is an early event in the neurotoxicity of glutamate and beta-amyloid (A(beta)). We hypothesize that cells supplemented with the precursor creatine make more phosphocreatine (PCr) and create larger energy reserves
Yapeng Ji et al.
Nature communications, 8, 15308-15308 (2017-05-19)
Targeting the specific metabolic phenotypes of colorectal cancer stem cells (CRCSCs) is an innovative therapeutic strategy for colorectal cancer (CRC) patients with poor prognosis and relapse. However, the context-dependent metabolic traits of CRCSCs remain poorly elucidated. Here we report that



Global Trade Item Number

SKUGTIN
D8013-25MG04061833589090
D8013-10MG04061833589083
D8013-50MG04061832941110