Skip to Content
Merck
CN

E2129

Evans Blue

Dye content ≥75 %, Powder

Synonym(s):

Direct Blue 53

Sign In to View Organizational & Contract Pricing.

Select a Size

Change View

About This Item

Empirical Formula (Hill Notation):
C34H24N6Na4O14S4
CAS Number:
Molecular Weight:
960.81
NACRES:
NA.47
PubChem Substance ID:
UNSPSC Code:
12171500
EC Number:
206-242-5
MDL number:
Colour Index Number:
23860
Technical Service
Need help? Our team of experienced scientists is here for you.
Let Us Assist


Product Name

Evans Blue, Dye content ≥75 %

form

powder

Quality Level

composition

Dye content, ≥75%

technique(s)

titration: suitable

application(s)

diagnostic assay manufacturing
hematology
histology

storage temp.

room temp

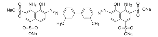
SMILES string

[Na+].[Na+].[Na+].[Na+].Cc1cc(ccc1\N=N\c2ccc3c(cc(c(N)c3c2O)S([O-])(=O)=O)S([O-])(=O)=O)-c4ccc(\N=N\c5ccc6c(cc(c(N)c6c5O)S([O-])(=O)=O)S([O-])(=O)=O)c(C)c4

InChI

1S/C34H28N6O14S4.4Na/c1-15-11-17(3-7-21(15)37-39-23-9-5-19-25(55(43,44)45)13-27(57(49,50)51)31(35)29(19)33(23)41)18-4-8-22(16(2)12-18)38-40-24-10-6-20-26(56(46,47)48)14-28(58(52,53)54)32(36)30(20)34(24)42;;;;/h3-14,41-42H,35-36H2,1-2H3,(H,43,44,45)(H,46,47,48)(H,49,50,51)(H,52,53,54);;;;/q;4*+1/p-4/b39-37+,40-38+;;;;

InChI key

ATNOAWAQFYGAOY-GPTZEZBUSA-J

Gene Information

General description

Evans blue (EB) C.I. 23860 is a synthetic bis-azo dye also known as T-1824 and Direct Blue 53. EB dye with higher water solubility has a strong affinity towards serum albumin, making it a high molecular weight protein tracer.

Application

Evans blue is a well-known vital stain with applications in histology and fluorescent microscopy. Evans blue has been used to check cell viability and study blood-brain barrier (BBB) permeability. Additional applications include the demonstration of specific pituitary cell types, selective staining of neutrophil plasma membranes, and fluorescence microscopy as a quenching agent to suppress unwanted autofluorescence.

Biochem/physiol Actions

Evans blue is a non-permeating dye. In presence of plasma membrane damage, the dye enters in the cytoplasm and nucleus, thereby staining them blue. Evans blue is used for checking cell viability. It is also used to study BBB (blood-brain barrier) permeability. The dye binds to albumin and hence indicates BBB breakdown to protein.


pictograms

Health hazard

signalword

Danger

hcodes

Hazard Classifications

Carc. 1B

Storage Class

6.1C - Combustible acute toxic Cat.3 / toxic compounds or compounds which causing chronic effects

wgk

WGK 3

flash_point_f

Not applicable

flash_point_c

Not applicable



Choose from one of the most recent versions:

Certificates of Analysis (COA)

Lot/Batch Number

Don't see the Right Version?

If you require a particular version, you can look up a specific certificate by the Lot or Batch number.

Already Own This Product?

Find documentation for the products that you have recently purchased in the Document Library.

Visit the Document Library



Brian P Eliceiri et al.
Methods in molecular biology (Clifton, N.J.), 686, 371-378 (2010-11-18)
The blood-brain barrier (BBB) is a monolayer of endothelial cells that is regulated by the proximity of a unique basement membrane and a tightly controlled molecular interaction between specialized subsets of cells including pericytes, astrocytes, and neurons. Working together, these
Pilhan Kim et al.
Nature methods, 7(4), 303-305 (2010-03-17)
In vivo imaging of small animals offers several possibilities for studying normal and disease biology, but visualizing organs with single-cell resolution is challenging. We describe rotational side-view confocal endomicroscopy, which enables cellular imaging of gastrointestinal and respiratory tracts in mice
Peterson RL, et al.
Teaching Plant Anatomy Through Creative Laboratory Exercises (2008)



Global Trade Item Number

SKUGTIN
E2129-50G04061835347612
E2129-100G04061835347599
E2129-10G04061835347605