Sign In to View Organizational & Contract Pricing.
Select a Size
Change View
About This Item
Empirical Formula (Hill Notation):
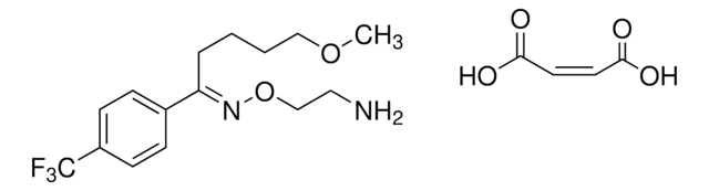
C15H21F3N2O2 · C4H4O4
CAS Number:
Molecular Weight:
434.41
UNSPSC Code:
12352116
PubChem Substance ID:
NACRES:
NA.77
MDL number:
Form:
solid
Quality level:
Product Name
Fluvoxamine maleate, solid
form
solid
Quality Level
solubility
H2O: soluble
originator
Solvay
storage temp.
2-8°C
SMILES string
COCCCC/C(C1=CC=C(C(F)(F)F)C=C1)=N\OCCN.OC(/C=C\C(O)=O)=O
InChI
1S/C15H21F3N2O2.C4H4O4/c1-21-10-3-2-4-14(20-22-11-9-19)12-5-7-13(8-6-12)15(16,17)18;5-3(6)1-2-4(7)8/h5-8H,2-4,9-11,19H2,1H3;1-2H,(H,5,6)(H,7,8)/b20-14+;2-1-
InChI key
LFMYNZPAVPMEGP-PIDGMYBPSA-N
Gene Information
Application
Fluvoxamine maleate has been used as a test compound to determine the solubility and effective blood-brain barrier permeability.(2)
Biochem/physiol Actions
Fluvoxamine maleate is a selective neuronal serotonin reuptake inhibitor. It functions as an antidepressant and anti-obsessive agent. It is useful in treating obsessive compulsive disorder and panic disorder.
Features and Benefits
This compound is a featured product for ADME Tox research. Click here to discover more featured ADME Tox products. Learn more about bioactive small molecules for other areas of research at sigma.com/discover-bsm.
This compound is featured on the Biogenic Amine Transporters page of the Handbook of Receptor Classification and Signal Transduction. To browse other handbook pages, click here.
This compound was developed by Solvay. To browse the list of other pharma-developed compounds and Approved Drugs/Drug Candidates, click here.
Still not finding the right product?
Explore all of our products under Fluvoxamine maleate
signalword
Warning
hcodes
pcodes
Hazard Classifications
Acute Tox. 4 Oral
Storage Class
11 - Combustible Solids
wgk
WGK 3
flash_point_f
Not applicable
flash_point_c
Not applicable
ppe
dust mask type N95 (US), Eyeshields, Gloves
Choose from one of the most recent versions:
Already Own This Product?
Find documentation for the products that you have recently purchased in the Document Library.
Articles
Discover Bioactive Small Molecules for ADME/Tox
Mosby's Drug Reference for Health Professions null
Anton J L M van Balkom et al.
Psychotherapy and psychosomatics, 81(6), 366-374 (2012-09-12)
To compare the effectiveness of second-step treatment with cognitive therapy (CT) versus fluvoxamine in patients with obsessive-compulsive disorder (OCD) who are nonresponsive to exposure in vivo with response prevention (ERP). A 12-week randomized controlled trial at an outpatient clinic in
John Lekakis et al.
International journal of cardiology, 139(2), 150-158 (2008-11-14)
Selective serotonin reuptake inhibitors (SSRIs) exert cardioprotective effects. We examined whether SSRIs a) modulate endothelial cell expression of vascular cell adhesion molecule (VCAM-1), intracellular adhesion molecule (ICAM-1) and adhesiveness to U937 monocytes, b) reduce the circulating levels of these adhesion
Global Trade Item Number
| SKU | GTIN |
|---|---|
| F2802-50MG | 04061832082073 |
| F2802-10MG | 04061833613320 |
